| 查看: 390 | 回复: 2 | ||
cczjl木虫 (正式写手)
|
[求助]
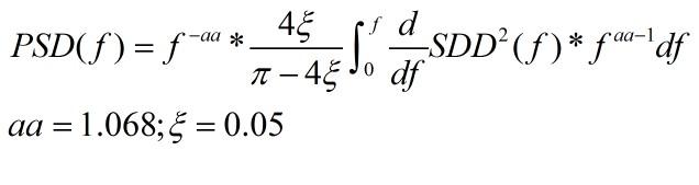
用MATLAB或其他方法、软件计算一个方程
|
|
|
|
||
|
2楼2013-02-21 23:14:59
|
|
|
|
★
csgt0: 金币+1, 欢迎交流 2013-02-26 10:29:14
|
||
|
3楼2013-02-24 16:23:13
|
|














回复此楼