| 查看: 421 | 回复: 2 | |
[求助]
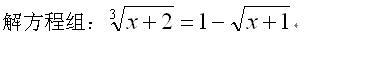
一道初中数学题5金币12
|
|
|
|
|
isopeisope金虫 (职业作家)
运筹帷幄的小木虫
|
|
|
2楼2013-01-27 10:49:27
|
|
|
3楼2013-01-28 00:36:52
|
|













回复此楼