| 查看: 330 | 回复: 0 | ||
[求助]
化合物的CIF文件
|
|
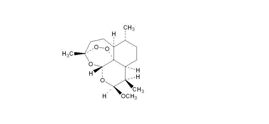
求助,哪位能帮我在CCDC 中查下下面物质蒿甲醚(C16H26O5)的CIF文献,谢谢! 12.jpg [ Last edited by yanruo1990 on 2013-1-17 at 10:38 ] |
» 猜你喜欢
江西科技师范大学物理化学课题组接收调剂生,12点开启,速来
已经有0人回复
【2026 考研调剂】哈尔滨工程大学 招收学硕调剂生(英语一、数学一)
已经有0人回复
无机化学论文润色/翻译怎么收费?
已经有227人回复
四川轻化工大学化学与环境工程学院 付昱教授课题组招收调剂硕士研究生
已经有11人回复
大连化物所招收有机背景的博士候选人
已经有0人回复
在MOF中,有没有羧基参加配位的情况
已经有2人回复
招2026年入学上海交通大学博士生,急!!!
已经有1人回复
理论计算合作
已经有0人回复

找到一些相关的精华帖子,希望有用哦~
冰天雪地求三个化合物的CIF文件
已经有3人回复
求助,请高人帮忙分析图中的2号峰可能是哪一种矿物
已经有7人回复
怎么从cif文件中看出化合物有几个氢键
已经有4人回复
无机化学学报 投稿
已经有8人回复
谁能告诉我我的Mercury、encifer为什么打不开cif文件?
已经有6人回复
请教这种图是怎么画出来的?
已经有16人回复
分子对称性的选择问题
已经有4人回复
cif用什么软件可以打开
已经有8人回复
求助ACS上JOC的投稿程序,听说比较麻烦
已经有7人回复
【求助】晶体中手性的问题?高人请进,金币不是问题!!!
已经有26人回复
【求助】请朋友们帮我看看检测完的cif文件!
已经有7人回复
【求助】如何在MS中优化由CCDC导出的cif文件?
已经有14人回复
【请教】能在diamond中画出结构来的晶体可以写成会议论文吗?
已经有9人回复
【请教】在checkcif中出现a和b错误,应该如何修改?
已经有5人回复
【求助】cif文件的填写问题
已经有11人回复
【求助】我是菜鸟,请教用ms预测微纳晶体的生长情况
已经有8人回复
科研从小木虫开始,人人为我,我为人人












回复此楼
点击这里搜索更多相关资源
5