±±¾©Ê¯ÓÍ»¯¹¤Ñ§Ôº2026ÄêÑо¿ÉúÕÐÉú½ÓÊÕµ÷¼Á¹«¸æ
²é¿´: 2053  |  »Ø¸´: 2

sxlflgj

½ð³æ (ÕýʽдÊÖ)

×Ô¶¨ÒåÍ·ÏÎ

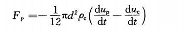
[ÇóÖú] dpmÖÐudfµÄÉèÖ㨸½¼ÓÖÊÁ¿Á¦£©¡£ ÒÑÓÐ1È˲ÎÓë

ÎÒÏëÎÊһϣ¬¿ÅÁ£µÄ¸½¼ÓÖÊÁ¿Á¦ÔÚfluentÀïÊDz»ÊÇÖ±½Ó¿ÉÒÔÑ¡ÔñµÄ£¨´ò¶Ô¹´µÄÄÇÖÖÑ¡Ï£¿Ã»Óеϰ£¬Õâ¸ö¸½¼ÓÖÊÁ¿Á¦µÄUDFÈçºÎд£¿ÇëÖ¸½Ì¡£

δÃüÃû.jpg
»Ø¸´´ËÂ¥

» ²ÂÄãϲ»¶

» ±¾Ö÷ÌâÏà¹Ø¼ÛÖµÌùÍÆ¼ö£¬¶ÔÄúͬÑùÓаïÖú:

ÎÞ·¨ÏÔʾ
ÒÑÔÄ   »Ø¸´´ËÂ¥   ¹Ø×¢TA ¸øTA·¢ÏûÏ¢ ËÍTAºì»¨ TAµÄ»ØÌû

DustinA

½ð³æ (³õÈëÎÄ̳)

¸ç²»»á£¬Äýð±ÒÀ´£¡
2Â¥2014-09-18 09:52:34
ÒÑÔÄ   »Ø¸´´ËÂ¥   ¹Ø×¢TA ¸øTA·¢ÏûÏ¢ ËÍTAºì»¨ TAµÄ»ØÌû

DustinA

½ð³æ (³õÈëÎÄ̳)

¡¾´ð°¸¡¿Ó¦Öú»ØÌû

¡ï ¡ï ¡ï ¡ï ¡ï ¡ï ¡ï ¡ï ¡ï ¡ï
sxlflgj: ½ð±Ò+10, ¡ïÓаïÖú 2014-09-18 09:54:30
ÎһᣬÄãÁªÏµ¸ç¸çÎÒ£¡
3Â¥2014-09-18 09:54:11
ÒÑÔÄ   »Ø¸´´ËÂ¥   ¹Ø×¢TA ¸øTA·¢ÏûÏ¢ ËÍTAºì»¨ TAµÄ»ØÌû
Ïà¹Ø°æ¿éÌø×ª ÎÒÒª¶©ÔÄÂ¥Ö÷ sxlflgj µÄÖ÷Ìâ¸üÐÂ
×î¾ßÈËÆøÈÈÌûÍÆ¼ö [²é¿´È«²¿] ×÷Õß »Ø/¿´ ×îºó·¢±í
[¿¼ÑÐ] ÉúÎïÓëÒ½Ò©273Çóµ÷¼Á +4 ÀóÌâÄÏǽ 2026-04-05 4/200 2026-04-05 20:17 by barlinike
[¿¼ÑÐ] 332Çóµ÷¼Á +11 ССÃÏ... 2026-04-05 11/550 2026-04-05 18:04 by Öí»á·É
[¿¼ÑÐ] ¹¤¿Æ277·ÖÇóµ÷¼Á²ÄÁÏ +8 ÉÏÁËÉÏÁËÉÏŶ 2026-04-05 9/450 2026-04-05 13:05 by wwytracy
[¿¼ÑÐ] ²ÄÁÏÓ뻯¹¤363ÇóÍÆ¼ö +7 zh096 2026-04-04 7/350 2026-04-05 09:11 by İÇï26
[¿¼ÑÐ] Ò»Ö¾Ô¸±±¾©2£¬²ÄÁÏÓ뻯¹¤308Çóµ÷¼Á +10 ÐܶþÏëÉϰ¶ 2026-04-04 10/500 2026-04-05 05:20 by houyaoxu
[¿¼ÑÐ] 320·ÖÈ˹¤ÖÇÄܵ÷¼Á +7 Õñ¡ªTZ 2026-04-03 7/350 2026-04-05 00:42 by chongya
[¿¼ÑÐ] ²ÄÁÏÓ뻯¹¤306·ÖÕÒµ÷¼Á +12 ²×º£ÇáÖÛe 2026-04-03 13/650 2026-04-04 23:45 by lqwchd
[¿¼ÑÐ] 26¿¼Ñе÷¼Á0710 0860 +9 ²¹²¹²»²¹ 2026-04-03 14/700 2026-04-04 23:32 by ¹û¶³´óÍõ
[¿¼ÑÐ] ²ÄÁϵ÷¼Á +10 ÀÁÑòÑòÇáÖÃÓñÍÎ 2026-04-02 11/550 2026-04-04 21:56 by laoshidan
[¿¼ÑÐ] Ò»Ö¾Ô¸ÉϺ£´óѧÉúÎïѧ346 +3 ÉϺ£´óѧ346µ÷¼Á 2026-04-03 3/150 2026-04-04 20:20 by dongzh2009
[¿¼ÑÐ] 333Çóµ÷¼Á +9 °¢¿ÆÒÝ 2026-03-31 9/450 2026-04-04 18:25 by macy2011
[¿¼ÑÐ] Çóµ÷¼Á +3 ũҵ¹¤³ÌÓëÐÅÏ¢¼ 2026-04-04 3/150 2026-04-04 12:19 by Éá¶øºóµÃ
[¿¼ÑÐ] ¿¼Ñе÷¼Á +3 15615482637 2026-04-03 3/150 2026-04-03 22:50 by ms629
[¿¼ÑÐ] 310Çóµ÷¼Á +18 ÕùÈ¡¾Åµã˯ 2026-03-30 18/900 2026-04-03 18:35 by lsÁõ˧
[¿¼ÑÐ] »·¾³¹¤³Ì297·ÖÇóµ÷¼ÁÒ»Ö¾Ô¸º¼¸ßÔº +15 GENJIOW 2026-03-31 16/800 2026-04-02 17:56 by cyh¡ª315
[¿¼ÑÐ] ÄÜÔ´¶¯Á¦ µ÷¼Á +3 ²»ÆÆ²»Á¢0 2026-04-02 3/150 2026-04-02 12:46 by ffffjjjj
[¿¼ÑÐ] Ò»Ö¾Ô¸±±¾©¿Æ¼¼£¬085601×Ü·Ö305Çóµ÷¼Á +9 °ëÉú¹Ï£¡ 2026-04-01 11/550 2026-04-02 08:28 by Wang200018
[¿¼ÑÐ] 349Çóµ÷¼Á +6 ³ÔµÄ²»ÉÙ 2026-04-01 6/300 2026-04-01 17:55 by JYD2011
[¿¼ÑÐ] Ò»Ö¾Ô¸±±¾©¿Æ¼¼´óѧ085601²ÄÁϹ¤³ÌÓ¢Ò»Êý¶þ³õÊÔ×Ü·Ö335Çóµ÷¼Á +5 Ë«ÂíβƦÀϰå2 2026-03-31 5/250 2026-04-01 09:04 by oooqiao
[¿¼ÑÐ] 080500-315·Ö¸´ÊÔµ÷¼Á +9 Éϰ¶3821 2026-03-31 9/450 2026-03-31 17:29 by ÌÆãå¶ù
ÐÅÏ¢Ìáʾ
ÇëÌî´¦ÀíÒâ¼û