| 查看: 2737 | 回复: 16 | |
5超7至尊木虫 (著名写手)
菜鸟
|
[求助]
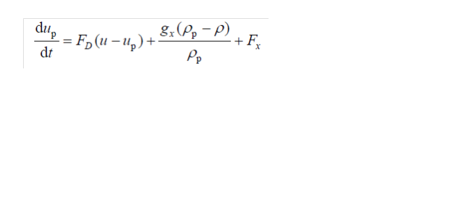
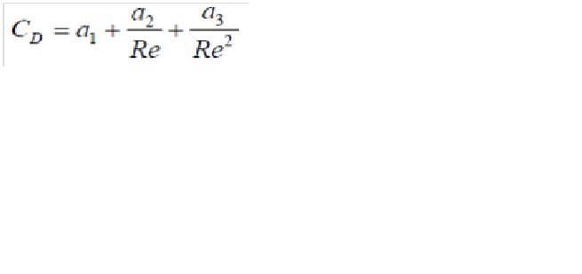
运用离散相模型模拟气固两相中如何添加颗粒的相关受力
|
![]() |
|
|
|
|
|
2楼2012-02-08 08:05:32
|
|
5超7至尊木虫 (著名写手)
菜鸟
|
|
![]() |
|
|
3楼2012-02-08 08:25:37
|
|
|
4楼2012-02-09 08:25:40
|
|
5超7至尊木虫 (著名写手)
菜鸟
|
|
![]() |
|
|
5楼2012-02-09 21:51:14
|
|
|
6楼2012-02-10 08:14:05
|
|
5超7至尊木虫 (著名写手)
菜鸟
|
|
![]() |
|
|
7楼2012-02-10 08:45:09
|
|
5超7至尊木虫 (著名写手)
菜鸟
|
|
![]() |
|
|
8楼2012-02-10 08:45:49
|
|
|
9楼2012-02-10 17:04:47
|
|
5超7至尊木虫 (著名写手)
菜鸟
|
|
![]() |
|
|
10楼2012-02-10 21:18:39
|
|














回复此楼
