| ²é¿´: 1657 | »Ø¸´: 13 | |||
wangxiaobai½ð³æ (СÓÐÃûÆø)
|
[ÇóÖú]
¸ßÖÐÉúÊýѧÌ⣬¾¹È»¶¼±»²»»áÁË£¬Çó½Ì
|
||
|
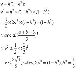
¸ßÖÐÉúÎÊÁËÎÒÒ»µÀÊýѧÌ⣬ v=h-h^3,hÔÚ0~6¿ªÇø¼ä ÇóvµÄ×î´óÖµ£¿ ÕæÊDz»ºÃÒâ˼°¡£¬ ³ýÁËÇ󵼵ķ½·¨£¬»¹ÓÐûÓбðµÄ·½·¨°¡£¿ лл£¡ |
» ÊÕ¼±¾ÌûµÄÌÔÌûר¼ÍƼö
»òÐíÒÔºóÓÐÓÃ |
» ²ÂÄãϲ»¶
272·Ö²ÄÁÏ×ÓÇóµ÷¼Á
ÒѾÓÐ36È˻ظ´
275Çóµ÷¼Á
ÒѾÓÐ8È˻ظ´
µ÷¼ÁÇóÊÕÁô
ÒѾÓÐ5È˻ظ´
Ò»Ö¾Ô¸211£¬»¯Ñ§Ñ§Ë¶£¬310·Ö£¬±¾¿ÆÖصãË«·Ç£¬Çóµ÷¼Á
ÒѾÓÐ20È˻ظ´
070300»¯Ñ§Ñ§Ë¶311·ÖÇóµ÷¼Á
ÒѾÓÐ19È˻ظ´
²ÄÁÏÓ뻯¹¤µ÷¼Á
ÒѾÓÐ13È˻ظ´
²ÄÁÏÓ뻯¹¤µ÷¼Á
ÒѾÓÐ33È˻ظ´
¸´ÊÔµ÷¼Á
ÒѾÓÐ7È˻ظ´
Ò»Ö¾Ô¸¹þ¹¤´ó 085600 277 12²Ä¿Æ»ùÇóµ÷¼Á
ÒѾÓÐ17È˻ظ´
»¹Óл¯¹¤¶þÂÖµ÷¼ÁµÄѧУÂð
ÒѾÓÐ47È˻ظ´
» ±¾Ö÷ÌâÏà¹Ø¼ÛÖµÌùÍÆ¼ö£¬¶ÔÄúͬÑùÓаïÖú:
Çó½ÌÒ»¸ö¹ÂÁ¢µã¼¯ºÏµÄµ¼¼¯ÌâÄ¿
ÒѾÓÐ4È˻ظ´
Ò»µÀ¸ßÖÐÊýѧÌâ...¸´ÊýZ=4+¸ùºÅÏÂ48³ËÒÔiµÄÄ£|Z|=?
ÒѾÓÐ10È˻ظ´
ÇóÖú½âÒ»µÀ¸ßÖÐÊýѧ·½³ÌÌâ
ÒѾÓÐ8È˻ظ´
¸ßÖÐÃݺ¯ÊýµÄÑÓÉì,ÇóÖú
ÒѾÓÐ23È˻ظ´
Çó½Ì£º·´³£»ý·ÖµÄ±»»ýº¯ÊýµÄÓнçÐÔÎÊÌâ
ÒѾÓÐ10È˻ظ´
Çó½ÌÁ½¸öÎÊÌâ :¶àÏîʽ¿ÉÔ¼ ÊýÁм«Ï޵㼯
ÒѾÓÐ3È˻ظ´
±±ÃÀ¸ßÖÐÊýѧÎÊÌ⣬º¹£¡
ÒѾÓÐ13È˻ظ´
ÇóÖú¸ßÖÐÊýѧһÌâ
ÒѾÓÐ3È˻ظ´
ÇóÖú(579)¡¾¾«¡¿Ð¿αêÈ˽ÌA°æ¸ßÖÐÊýѧ±ØÐÞ1-5È«Ì׽̰¸¡¾1008Ò³¡¿
ÒѾÓÐ8È˻ظ´
¡¾ÇóÖú¡¿¸ßÖÐÓйØÊýÁеÄÁ½µÀÌâ
ÒѾÓÐ3È˻ظ´
¡¾ÇóÖú¡¿Çó½Ì¹ØÓÚ΢·Ö·½³ÌµÄÒ»¸öÎÊÌâ
ÒѾÓÐ3È˻ظ´
¡¾ÇóÖú¡¿Çó½Ì¶¨»ý·ÖÎÊÌâ
ÒѾÓÐ13È˻ظ´
1314168apple
½ð³æ (ÖªÃû×÷¼Ò)
- Ó¦Öú: 68 (³õÖÐÉú)
- ½ð±Ò: 677
- ºì»¨: 12
- Ìû×Ó: 6872
- ÔÚÏß: 1462.3Сʱ
- ³æºÅ: 287760
- ×¢²á: 2006-10-21
- רҵ: É«Æ×·ÖÎö

9Â¥2012-12-13 08:54:15
realghost828
½ð³æ (СÓÐÃûÆø)
- Ó¦Öú: 18 (СѧÉú)
- ½ð±Ò: 1191.2
- Ìû×Ó: 76
- ÔÚÏß: 57.5Сʱ
- ³æºÅ: 532963
- ×¢²á: 2008-03-25
- ÐÔ±ð: GG
- רҵ: Ô˳ïѧ

2Â¥2012-12-12 09:26:14
ligrid
ľ³æ (СÓÐÃûÆø)
- Ó¦Öú: 17 (СѧÉú)
- ½ð±Ò: 3062.7
- Ìû×Ó: 146
- ÔÚÏß: 164.1Сʱ
- ³æºÅ: 939463
- ×¢²á: 2010-01-09
- רҵ: ¼ÆËãÊýѧÓë¿ÆÑ§¹¤³Ì¼ÆËã
3Â¥2012-12-12 13:13:36
whenyd
ľ³æ (ÖøÃûдÊÖ)
Õ¬ÐÄÈʺñ
- Ó¦Öú: 47 (СѧÉú)
- ¹ó±ö: 0.108
- ½ð±Ò: 870
- É¢½ð: 3632
- ºì»¨: 45
- ɳ·¢: 1
- Ìû×Ó: 2061
- ÔÚÏß: 280.8Сʱ
- ³æºÅ: 2026623
- ×¢²á: 2012-09-24
- ÐÔ±ð: GG
- רҵ: È˹¤ÖÇÄÜÓë֪ʶ¹¤³Ì

4Â¥2012-12-12 19:38:34
whenyd
ľ³æ (ÖøÃûдÊÖ)
Õ¬ÐÄÈʺñ
- Ó¦Öú: 47 (СѧÉú)
- ¹ó±ö: 0.108
- ½ð±Ò: 870
- É¢½ð: 3632
- ºì»¨: 45
- ɳ·¢: 1
- Ìû×Ó: 2061
- ÔÚÏß: 280.8Сʱ
- ³æºÅ: 2026623
- ×¢²á: 2012-09-24
- ÐÔ±ð: GG
- רҵ: È˹¤ÖÇÄÜÓë֪ʶ¹¤³Ì

5Â¥2012-12-12 20:06:10
realghost828
½ð³æ (СÓÐÃûÆø)
- Ó¦Öú: 18 (СѧÉú)
- ½ð±Ò: 1191.2
- Ìû×Ó: 76
- ÔÚÏß: 57.5Сʱ
- ³æºÅ: 532963
- ×¢²á: 2008-03-25
- ÐÔ±ð: GG
- רҵ: Ô˳ïѧ

6Â¥2012-12-12 21:15:46
wangxiaobai
½ð³æ (СÓÐÃûÆø)
- Ó¦Öú: 3 (Ó×¶ùÔ°)
- ½ð±Ò: 2295.5
- ºì»¨: 2
- Ìû×Ó: 179
- ÔÚÏß: 124.9Сʱ
- ³æºÅ: 901116
- ×¢²á: 2009-11-12
- רҵ: ½ðÊô²ÄÁϵÄ΢¹Û½á¹¹
7Â¥2012-12-13 04:37:20
wangxiaobai
½ð³æ (СÓÐÃûÆø)
- Ó¦Öú: 3 (Ó×¶ùÔ°)
- ½ð±Ò: 2295.5
- ºì»¨: 2
- Ìû×Ó: 179
- ÔÚÏß: 124.9Сʱ
- ³æºÅ: 901116
- ×¢²á: 2009-11-12
- רҵ: ½ðÊô²ÄÁϵÄ΢¹Û½á¹¹
8Â¥2012-12-13 04:38:16
1314168apple
½ð³æ (ÖªÃû×÷¼Ò)
- Ó¦Öú: 68 (³õÖÐÉú)
- ½ð±Ò: 677
- ºì»¨: 12
- Ìû×Ó: 6872
- ÔÚÏß: 1462.3Сʱ
- ³æºÅ: 287760
- ×¢²á: 2006-10-21
- רҵ: É«Æ×·ÖÎö

10Â¥2012-12-13 08:57:38













»Ø¸´´ËÂ¥