版块导航
正在加载中...
客户端APP下载
论文辅导
调剂小程序
登录
注册
帖子
帖子
用户
本版
应《网络安全法》要求,自2017年10月1日起,未进行实名认证将不得使用互联网跟帖服务。为保障您的帐号能够正常使用,请尽快对帐号进行手机号验证,感谢您的理解与支持!
24小时热门版块排行榜
>
论坛更新日志
(3603)
>
虫友互识
(329)
>
文献求助
(316)
>
导师招生
(194)
>
休闲灌水
(133)
>
基金申请
(109)
>
硕博家园
(108)
>
考博
(88)
>
博后之家
(46)
>
招聘信息布告栏
(40)
>
考研
(38)
>
论文投稿
(35)
>
论文道贺祈福
(33)
>
海外博后
(25)
>
教师之家
(22)
>
找工作
(19)
小木虫论坛-学术科研互动平台
»
材料区
»
无机非金属
»
陶瓷材料
»
致密化速率方程
3
1/1
返回列表
查看: 857 | 回复: 2
只看楼主
@他人
存档
新回复提醒
(忽略)
收藏
在APP中查看
二月天
金虫
(著名写手)
应助: 0
(幼儿园)
金币: 4298.5
帖子: 1785
在线: 242小时
虫号: 1251164
[交流]
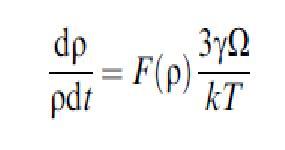
致密化速率方程
请教如图中所示的方程的具体解释,尤其是F的含义, 哪些量决定陶瓷微观结构,对这个方程的解释在哪有呢,多谢
致密化方程.JPG
回复此楼
» 猜你喜欢
AI 太可怕了,写基金时,提出想法,直接生成的文字比自己想得深远,还有科学性
已经有8人回复
有时候真觉得大城市人没有县城人甚至个体户幸福
已经有12人回复
依托企业入选了国家启明计划青年人才。有无高校可以引进的。
已经有11人回复
依托企业入选了国家启明计划青年人才。有无高校可以引进的。
已经有10人回复
同年申请2项不同项目,第1个项目里不写第2个项目的信息,可以吗
已经有9人回复
表哥与省会女结婚,父母去帮带孩子被省会女气回家生重病了
已经有7人回复
天津大学招2026.09的博士生,欢迎大家推荐交流(博导是本人)
已经有9人回复
有院领导为了换新车,用横向课题经费买了俩车
已经有10人回复
高级回复
» 本主题相关价值贴推荐,对您同样有帮助:
Gaussian 计算二级反应速率常数
已经有4人回复
气液反应的速率如何表示
已经有3人回复
怎么解释活化能相同的两个反应,同等条件下速率常数却不同?
已经有11人回复
高斯计算微观动力学研究-计算结果:逆反应速率常数大于正反应速率常数 是否正常
已经有14人回复
关于反硝化速率
已经有19人回复
请教:管式积分反应器做动力学时,反应速率如何计算?
已经有10人回复
【求助】等温条件下速率常数与频率因子的关系是相等的吗?
已经有7人回复
【求助】单位时间单位质量(体积)的催化剂如何与反应速率方程相关联?或有没有表达式
已经有3人回复
【求助】反应速率常数怎么算
已经有5人回复
【讨论】烧结温度与晶粒长大和烧结密度之间的关系
已经有30人回复
气液反应速率常数可查么?如果不能怎么能得到
已经有7人回复
» 抢金币啦!回帖就可以得到:
查看全部散金贴
西湖大学2026年秋季入学物理学、光学、电子信息方向博士生有名额速来!!!
+
2
/274
西湖大学2026年秋季入学物理学、光学、电子信息方向博士生有名额速来!!!
+
2
/270
985教授征女友
+
1
/257
西南科技大学曹克课题组招收2026级申请考核制有机化学博士研究生
+
1
/176
江西理工大学联合中国科学院赣江创新研究院招收2026级博士研究生
+
1
/83
广州大学“长江学者”教授团队2026年海内外高层次人才招聘(环境/化学/生物)
+
1
/78
2025难忘的时刻
+
1
/70
中国农业大学安杰课题组招聘科研助理(表现优异者可提供读博机会)
+
1
/44
香港城市大学范俊教授招博士生 2名 机器学习和仿真设计新的电池材料 仅限C9高校学生
+
1
/28
【青岛大学】2026年生物与医药申请考核制博士生招生(含少数民族骨干人才)
+
1
/23
广东省环境科学研究院招聘高分辨质谱方向博士一名
+
1
/12
澳门理工大学 2026 Fall 奖学金博士招生 (AI药物与蛋白质设计,干湿结合)
+
1
/12
中南林业科技大学生物质绿色转化与功能材料课题组2026年博士招生
+
1
/11
全奖博士 英国利物浦大学 × 台湾清华大学 联合培养
+
1
/10
香港中文大学(深圳)陈筱萌 课题组招生公告(博士 / 博后 / 硕士 / RA)
+
1
/5
澳科大药学院诚招2026年秋季药剂学/生物材料硕士研究生(2026年3月5日报名截止)
+
1
/5
【科研助理招聘-北京理工大学-集成电路与电子学院-国家杰青团队】
+
1
/4
澳科大招收2026年秋季药剂学/生物材料方向全奖博士研究生(春节不打烊)
+
1
/4
26储能博士申请自荐
+
1
/4
青岛大学材料学院沈兆存教授招收2026年申请考核制博士1名
+
1
/2
1楼
2012-09-04 21:51:10
已阅
回复此楼
关注TA
给TA发消息
送TA红花
TA的回帖
Angenla
木虫
(著名写手)
应助: 16
(小学生)
金币: 4486.9
帖子: 1838
在线: 130.4小时
虫号: 1421446
★
二月天(金币+1): 谢谢参与
在学习中
回复此楼
3楼
2012-09-06 17:33:06
已阅
回复此楼
关注TA
给TA发消息
送TA红花
TA的回帖
简单回复
goingabroad
2楼
2012-09-04 22:28
回复
二月天(金币+1): 谢谢参与
相关版块跳转
材料综合
材料工程
微米和纳米
晶体
金属
无机非金属
生物材料
功能材料
复合材料
我要订阅楼主
二月天
的主题更新
3
1/1
返回列表
如果回帖内容含有宣传信息,请如实选中。否则帐号将被全论坛禁言
普通表情
龙
兔
虎
猫
高级回复
(可上传附件)
百度网盘
|
360云盘
|
千易网盘
|
华为网盘
在新窗口页面中打开自己喜欢的网盘网站,将文件上传后,然后将下载链接复制到帖子内容中就可以了。
信息提示
关闭
请填处理意见
关闭
确定