24小时热门版块排行榜    

查看: 375  |  回复: 2

lvkai39

木虫 (著名写手)

[求助] 拉式逆变换问题求助,

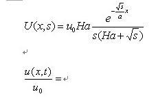
有一道拉式逆变换问题,求大家帮忙解决,谁解决送10金币

拉式逆变换问题
回复此楼

» 猜你喜欢

» 本主题相关价值贴推荐,对您同样有帮助:

已阅   回复此楼   关注TA 给TA发消息 送TA红花 TA的回帖

lvkai39

木虫 (著名写手)

怎么没人回答呢,得自己刷一下, 是不是没人看到啊
2楼2012-08-11 08:56:49
已阅   回复此楼   关注TA 给TA发消息 送TA红花 TA的回帖

lvkai39

木虫 (著名写手)

又人解题没有啊。怎么搞的
3楼2012-08-12 10:35:01
已阅   回复此楼   关注TA 给TA发消息 送TA红花 TA的回帖
相关版块跳转 我要订阅楼主 lvkai39 的主题更新
最具人气热帖推荐 [查看全部] 作者 回/看 最后发表
[考研] 一志愿北京化工大学 070300 学硕 336分 求调剂 +4 vv迷 2026-03-22 4/200 2026-03-22 23:29 by king123!
[考研] 0854电子信息求调剂 +3 α____ 2026-03-22 3/150 2026-03-22 21:28 by zhq0425
[考研] 招08考数学 +4 laoshidan 2026-03-20 8/400 2026-03-22 19:56 by 小皮蛋酱
[考研] 293求调剂 +12 zjl的号 2026-03-16 17/850 2026-03-22 16:51 by i_cooler
[考研] 305分求调剂(食品工程) +4 Sxy112 2026-03-21 6/300 2026-03-22 15:26 by 无懈可击111
[考研] 能源材料化学课题组招收硕士研究生8-10名 +5 脱颖而出 2026-03-16 17/850 2026-03-22 15:18 by 脱颖而出
[考研] 303求调剂 +5 安忆灵 2026-03-22 6/300 2026-03-22 12:46 by 素颜倾城1988
[考研] 考研调剂 +4 来好运来来来 2026-03-21 4/200 2026-03-22 12:15 by 星空星月
[考研] 302求调剂 +12 呼呼呼。。。。 2026-03-17 12/600 2026-03-21 17:29 by ColorlessPI
[考研] 336求调剂 +5 rmc8866 2026-03-21 5/250 2026-03-21 17:24 by 学员8dgXkO
[考研] 0805材料320求调剂 +3 深海物语 2026-03-20 3/150 2026-03-21 15:46 by 无际的草原
[考研] 初始318分求调剂(有工作经验) +3 1911236844 2026-03-17 3/150 2026-03-21 02:33 by JourneyLucky
[考研] 一志愿 西北大学 ,070300化学学硕,总分287,双非一本,求调剂。 +3 晨昏线与星海 2026-03-18 3/150 2026-03-21 00:46 by JourneyLucky
[考研] 求调剂,一志愿:南京航空航天大学大学 ,080500材料科学与工程学硕,总分289分 +4 @taotao 2026-03-19 4/200 2026-03-20 22:14 by JourneyLucky
[考研] 085600材料与化工 +8 安全上岸! 2026-03-16 8/400 2026-03-20 22:13 by luoyongfeng
[考研] 一志愿 南京航空航天大学大学 ,080500材料科学与工程学硕 +5 @taotao 2026-03-20 5/250 2026-03-20 20:16 by JourneyLucky
[考研] 一志愿南理工085701环境302求调剂院校 +3 葵梓卫队 2026-03-20 3/150 2026-03-20 19:28 by zhukairuo
[考研] 广西大学家禽遗传育种课题组2026年硕士招生(接收计算机专业调剂) +3 123阿标 2026-03-17 3/150 2026-03-20 15:58 by 飞行琦
[考研] 298-一志愿中国农业大学-求调剂 +9 手机用户 2026-03-17 9/450 2026-03-20 14:24 by 无懈可击111
[考研] 材料工程专硕调剂 +5 204818@lcx 2026-03-17 6/300 2026-03-18 22:55 by 204818@lcx
信息提示
请填处理意见