| 查看: 1436 | 回复: 33 | |
| 当前只显示满足指定条件的回帖,点击这里查看本话题的所有回帖 | |
石沉溪洞4银虫 (初入文坛)
|
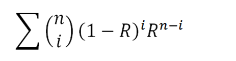
[求助]
请教公式含义
|
|
|
|
石沉溪洞4银虫 (初入文坛)
|
|
|
22楼2012-07-23 08:41:48
|
|
| 查看全部 34 个回答 | |
lingyuandage木虫 (职业作家)
远
|
|
![]() |
|
|
2楼2012-07-17 12:08:25
|
|
hljszjy木虫 (初入文坛)
|
|
![]() |
|
|
3楼2012-07-17 12:09:40
|
|
|
4楼2012-07-17 14:52:24
|
|













回复此楼
送鲜花一朵
