| 查看: 293 | 回复: 2 | ||
lenienter至尊木虫 (知名作家)
|
[求助]
一个积分问题。(在线等)
|
|
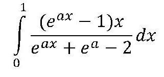
请哪位帮忙用mathematica软件算一下积分问题。我自己手工算的头都大了,非常感谢! 另外一贴: http://muchong.com/bbs/viewthread.php?tid=4583377&page=1 a is constant and a>0. integral [ Last edited by lenienter on 2012-6-1 at 22:51 ] |
» 猜你喜欢
英文综述是否需要润色及查重
已经有5人回复
救命帖
已经有5人回复
限项规定
已经有5人回复
为什么nbs上溴 没有产物点出现呢
已经有9人回复
招博士
已经有3人回复
存款400万可以在学校里躺平吗
已经有35人回复
最失望的一年
已经有18人回复
求推荐博导
已经有4人回复
求推荐英文EI期刊
已经有5人回复
» 本主题相关价值贴推荐,对您同样有帮助:
高分求助一个考研高数问题,高手请进~!
已经有109人回复
求助一个体积计算问题
已经有10人回复
求教一个积分问题,谢谢
已经有5人回复
求教一个origin中的问题,求大神指点
已经有4人回复
请教一个Mathematica积分的问题(重金求解)
已经有6人回复
HPLC中关于峰面积积分问题
已经有19人回复
跟大家深入探讨一个问题:枯燥的计算是今天工作岗位的主要提供者
已经有1人回复
探讨一个核磁氢谱 问题
已经有20人回复
【求助】积分问题
已经有5人回复
求助一个英文翻译问题!
已经有10人回复
【求助】更新:两束电磁波叠加成一束电磁波时能量问题?(20金币)
已经有54人回复
【求助】求教定积分问题
已经有13人回复
【交流】关于HPLC积分问题?
已经有9人回复
【求助】求积分程序中被积函数问题
已经有15人回复
【求助】请教高手关于核磁谱中积分的一个问题
已经有10人回复
【求助】一个二重积分问题【已解决】
已经有17人回复
mshwangg
至尊木虫 (正式写手)
- 程序强帖: 5
- 应助: 206 (大学生)
- 金币: 10702.8
- 散金: 100
- 红花: 19
- 帖子: 597
- 在线: 195.4小时
- 虫号: 576702
- 注册: 2008-06-21
- 专业: 物理学I
2楼2012-06-01 23:50:20
|
3楼2012-06-02 12:04:10













回复此楼