| 查看: 298 | 回复: 2 | ||
lenienter至尊木虫 (知名作家)
|
[求助]
一个积分问题。
|
|
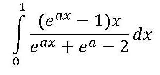
在别的版块上发过,形式略有不同,想听听大家的意见,我自己是没有办法了。 多谢各位了。 另外一贴:http://muchong.com/bbs/viewthread.php?tid=4577149&fpage=1 integral a is constant and a>0. [ Last edited by lenienter on 2012-6-1 at 21:55 ] |
» 猜你喜欢
085405 考的11408求各位老师带走
已经有3人回复
339求调剂
已经有6人回复
材料与化工272求调剂
已经有4人回复
085701环境工程,267求调剂
已经有15人回复
材料求调剂一志愿哈工大324
已经有9人回复
292求调剂
已经有15人回复
304求调剂
已经有5人回复
材料与化工考研调剂
已经有17人回复
321求调剂
已经有5人回复
329求调剂
已经有5人回复
» 本主题相关价值贴推荐,对您同样有帮助:
高分求助一个考研高数问题,高手请进~!
已经有109人回复
求助一个体积计算问题
已经有10人回复
求教一个积分问题,谢谢
已经有5人回复
求教一个origin中的问题,求大神指点
已经有4人回复
请教一个Mathematica积分的问题(重金求解)
已经有6人回复
HPLC中关于峰面积积分问题
已经有19人回复
跟大家深入探讨一个问题:枯燥的计算是今天工作岗位的主要提供者
已经有1人回复
探讨一个核磁氢谱 问题
已经有20人回复
【求助】积分问题
已经有5人回复
求助一个英文翻译问题!
已经有10人回复
【求助】更新:两束电磁波叠加成一束电磁波时能量问题?(20金币)
已经有54人回复
【求助】求教定积分问题
已经有13人回复
【交流】关于HPLC积分问题?
已经有9人回复
【求助】求积分程序中被积函数问题
已经有15人回复
【求助】请教高手关于核磁谱中积分的一个问题
已经有10人回复
【求助】一个二重积分问题【已解决】
已经有17人回复

2楼2012-06-01 22:17:22
lenienter
至尊木虫 (知名作家)
- 应助: 1 (幼儿园)
- 金币: 34294.5
- 散金: 95
- 红花: 18
- 帖子: 6506
- 在线: 604.6小时
- 虫号: 125191
- 注册: 2005-12-06
- 性别: GG
- 专业: 矿物工程与物质分离科学
3楼2012-06-01 22:24:37














回复此楼