| 查看: 740 | 回复: 2 | |
[求助]
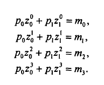
用matlab求解非线性方程组问题
|
|
|
|
|
nandehutu9327至尊木虫 (职业作家)
|
|
|
2楼2012-05-27 10:13:04
|
|
|
3楼2012-05-27 12:14:29
|
|













回复此楼