| 查看: 4783 | 回复: 23 | ||||
gemucai木虫 (正式写手)
|
[求助]
哭了,各种虚频!
|
|||
|
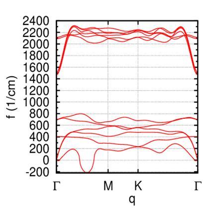
我以前计算声子谱很少出现虚频,但最近各种虚频都出现了,十分的崩溃! 首先是这个非高对称点的虚频: ![]() 然后是无限长的烷烃声子谱也出现了虚频,不做asr的话,gamma点也有很大虚频: ![]() 两个结构的受力我优化到0.00001 ry/bohr,stress优化到0.5kbar以内,且ecut和k点也做过收敛测试的。我已经束手无策了,谁能帮帮我? |
» 收录本帖的淘帖专辑推荐
VASP and MS | condensed matter physics |
» 猜你喜欢
化工学硕294分,求导师收留
已经有29人回复
求调剂
已经有10人回复
考研求调剂
已经有13人回复
求调剂
已经有3人回复
人工智能320调剂08工类还有机会吗
已经有17人回复
考研英一数一338分
已经有10人回复
求助调剂,跨调
已经有15人回复
085600材料与化工329分求调剂
已经有20人回复
085600材料与化工349分求调剂
已经有15人回复
求调剂
已经有13人回复
» 本主题相关价值贴推荐,对您同样有帮助:
在进行高斯计算时如何消去虚频(转载)
已经有18人回复
如何消虚频?!!! 求指点!谢谢!
已经有12人回复
关于TS的虚频
已经有11人回复
怎么消除虚频,细节
已经有10人回复
B3LYP的虚频问题?急!!!
已经有5人回复
【求助】关于虚频
已经有8人回复
【求助】关于一个很小的虚频
已经有3人回复
【求助】消除虚频问题
已经有8人回复
【求助】Dmol出现虚频,对后续性质计算有影响吗?
已经有9人回复
【求助】过渡态出现2个虚频
已经有10人回复
gemucai
木虫 (正式写手)
- 应助: 16 (小学生)
- 金币: 1774.6
- 散金: 157
- 红花: 4
- 帖子: 693
- 在线: 201.7小时
- 虫号: 816478
- 注册: 2009-07-27
- 专业: 凝聚态物性 II :电子结构
3楼2012-05-25 18:59:36
hanyanli0475
铜虫 (小有名气)
- 应助: 11 (小学生)
- 金币: 173.1
- 散金: 32
- 红花: 3
- 帖子: 296
- 在线: 130.5小时
- 虫号: 1160645
- 注册: 2010-12-02
- 性别: GG
- 专业: 凝聚态物性 II :电子结构

2楼2012-05-24 15:58:40
12楼2012-08-01 21:42:17
souledge
专家顾问 (著名写手)
-

专家经验: +174 - 1ST强帖: 19
- 应助: 303 (大学生)
- 金币: 11306.4
- 散金: 1123
- 红花: 108
- 帖子: 2814
- 在线: 916.1小时
- 虫号: 941486
- 注册: 2010-01-12
- 专业: 结构陶瓷
- 管辖: 第一性原理

4楼2012-05-25 21:53:28
condensed
木虫 (著名写手)
- 应助: 21 (小学生)
- 金币: 3223.5
- 散金: 44
- 红花: 3
- 帖子: 1002
- 在线: 208.4小时
- 虫号: 292567
- 注册: 2006-11-04
- 性别: GG
- 专业: 凝聚态物性 II :电子结构
5楼2012-05-26 03:16:59
gemucai
木虫 (正式写手)
- 应助: 16 (小学生)
- 金币: 1774.6
- 散金: 157
- 红花: 4
- 帖子: 693
- 在线: 201.7小时
- 虫号: 816478
- 注册: 2009-07-27
- 专业: 凝聚态物性 II :电子结构
6楼2012-05-26 07:56:53
gemucai
木虫 (正式写手)
- 应助: 16 (小学生)
- 金币: 1774.6
- 散金: 157
- 红花: 4
- 帖子: 693
- 在线: 201.7小时
- 虫号: 816478
- 注册: 2009-07-27
- 专业: 凝聚态物性 II :电子结构
7楼2012-05-26 08:00:18
just_play
至尊木虫 (正式写手)
- 应助: 6 (幼儿园)
- 贵宾: 0.1
- 金币: 11813.8
- 散金: 1210
- 红花: 1
- 帖子: 688
- 在线: 667.1小时
- 虫号: 837886
- 注册: 2009-09-01
- 性别: GG
- 专业: 凝聚态物性 II :电子结构

8楼2012-05-26 10:15:12
gemucai
木虫 (正式写手)
- 应助: 16 (小学生)
- 金币: 1774.6
- 散金: 157
- 红花: 4
- 帖子: 693
- 在线: 201.7小时
- 虫号: 816478
- 注册: 2009-07-27
- 专业: 凝聚态物性 II :电子结构
9楼2012-05-26 10:26:40
gemucai
木虫 (正式写手)
- 应助: 16 (小学生)
- 金币: 1774.6
- 散金: 157
- 红花: 4
- 帖子: 693
- 在线: 201.7小时
- 虫号: 816478
- 注册: 2009-07-27
- 专业: 凝聚态物性 II :电子结构
10楼2012-05-26 10:33:12
















回复此楼

LZ做的是导电体系么?至于smearing值的大小,也要进行收敛测试的……