| ²é¿´: 1713 | »Ø¸´: 2 | ||
nl95272006Ìú³æ (СÓÐÃûÆø)
|
[ÇóÖú]
ÈçºÎÇó½âƫ΢·Ö·½³Ì×éµÄÌØÕ÷Ïß·½³Ì
|
|
Çë½Ì¸øÎ»´óÉñ£¬ÈçºÎÓÃÌØÕ÷Ïß·½·¨½«Æ«Î¢·Ö·½³Ì±ä³É³£Î¢·Ö·½³Ì£¬±¾È˲»ÊÇÊýѧרҵ£¬ÇëÎʸ÷λ´óÉñ£¬ÓÐûÓÐʲô±È½ÏºÃµÄ¹ØÓÚÆ«Î¢·Ö·½³ÌµÄ½éÉܵ쬯äÖжÔÌØÕ÷Ïß·½·¨ÒªÓбȽϺõĽéÉÜ£¬¸Ðл |
» ²ÂÄãϲ»¶
272·Ö²ÄÁÏ×ÓÇóµ÷¼Á
ÒѾÓÐ36È˻ظ´
275Çóµ÷¼Á
ÒѾÓÐ8È˻ظ´
µ÷¼ÁÇóÊÕÁô
ÒѾÓÐ5È˻ظ´
Ò»Ö¾Ô¸211£¬»¯Ñ§Ñ§Ë¶£¬310·Ö£¬±¾¿ÆÖصãË«·Ç£¬Çóµ÷¼Á
ÒѾÓÐ20È˻ظ´
070300»¯Ñ§Ñ§Ë¶311·ÖÇóµ÷¼Á
ÒѾÓÐ19È˻ظ´
²ÄÁÏÓ뻯¹¤µ÷¼Á
ÒѾÓÐ13È˻ظ´
²ÄÁÏÓ뻯¹¤µ÷¼Á
ÒѾÓÐ33È˻ظ´
¸´ÊÔµ÷¼Á
ÒѾÓÐ7È˻ظ´
Ò»Ö¾Ô¸¹þ¹¤´ó 085600 277 12²Ä¿Æ»ùÇóµ÷¼Á
ÒѾÓÐ17È˻ظ´
»¹Óл¯¹¤¶þÂÖµ÷¼ÁµÄѧУÂð
ÒѾÓÐ47È˻ظ´
» ±¾Ö÷ÌâÏà¹Ø¼ÛÖµÌùÍÆ¼ö£¬¶ÔÄúͬÑùÓаïÖú:
matlab΢·Ö·½³Ì×é²ÎÊýÄâºÏ£¬ÒÔÖÜΪµ¥Î»Çó½â£¬»ã×ܺóÒÔÄêΪµ¥Î»½øÐÐÊýÖµ±È½Ï
ÒѾÓÐ4È˻ظ´
MatlabÇó½âƫ΢·Ö·½³Ì×é
ÒѾÓÐ22È˻ظ´
ÇëÎÊÈçºÎÇó½â¶þÔªÒ»½×΢·Ö·½³Ì×é
ÒѾÓÐ24È˻ظ´
matlabÊýÖµÇó½â±ß½çÌõ¼þ΢·Ö·½³Ì×é
ÒѾÓÐ7È˻ظ´
¸ß½ðÇóÖúmatlab½â΢·Ö·½³Ì×é
ÒѾÓÐ12È˻ظ´
Ò»¸öƫ΢·Ö·½³Ì×飨°üÀ¨±ß½çÌõ¼þ£©ÈçºÎÇó½âµÃµ½×ÔÕñƵÂʺÍÕñÐÍ£¿
ÒѾÓÐ4È˻ظ´
LABVIEWËĽ×Áú¸ñ¿âËþ·¨Çó½âÒ»½×΢·Ö·½³Ì×é
ÒѾÓÐ12È˻ظ´
¡¾ÇóÖú¡¿Ïò¸÷λ´óÏÀÇóÖúmatlabÇó½â΢·Ö·½³Ì×éÓöµ½µÄÒ»¸öÎÊÌâ
ÒѾÓÐ21È˻ظ´
¡¾ÇóÖú¡¿¼±Çë΢·Ö·½³Ì¸ßÊÖ¿´ÏÂÕâ¸ö·½³Ì×飡
ÒѾÓÐ14È˻ظ´
¡¾ÇóÖú¡¿Æ«Î¢·Ö·½³ÌºÍ³£Î¢·Ö·½³Ì×é³ÉµÄ·½³Ì×éÔõôÇ󣬴ó¼Ò°ï°ïæ°¡
ÒѾÓÐ3È˻ظ´
¡¾ÇóÖú¡¿matlabÔõôÇó½âƫ΢·Ö·½³Ì×é°¡£¬ÏÈллÁË
ÒѾÓÐ13È˻ظ´

acmuser
Òø³æ (СÓÐÃûÆø)
- Ó¦Öú: 22 (СѧÉú)
- ½ð±Ò: 324.5
- ºì»¨: 1
- Ìû×Ó: 74
- ÔÚÏß: 22.9Сʱ
- ³æºÅ: 1582407
- ×¢²á: 2012-01-18
- ÐÔ±ð: GG
- רҵ: ¼ÆËãÊýѧÓë¿ÆÑ§¹¤³Ì¼ÆËã
¡¾´ð°¸¡¿Ó¦Öú»ØÌû
¡ï ¡ï ¡ï ¡ï ¡ï ¡ï ¡ï ¡ï ¡ï ¡ï
¸Ðл²ÎÓ룬ӦÖúÖ¸Êý +1
nl95272006: ½ð±Ò+8, ¡ï¡ï¡ïºÜÓаïÖú, ·Ç³£¸Ðл 2012-05-16 14:37:45
СÓêÃÈÃÈ: ½ð±Ò+2, 3Q~ 2012-05-16 18:59:47
¸Ðл²ÎÓ룬ӦÖúÖ¸Êý +1
nl95272006: ½ð±Ò+8, ¡ï¡ï¡ïºÜÓаïÖú, ·Ç³£¸Ðл 2012-05-16 14:37:45
СÓêÃÈÃÈ: ½ð±Ò+2, 3Q~ 2012-05-16 18:59:47
|
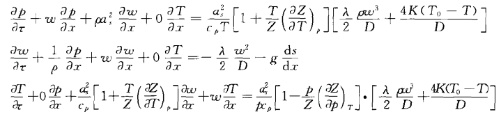
This looks like some equation of conservation law, you can write it in the form du/dt + A du/dx = f(u, x), if u = [p, w, T]^t, then in principle you can diagonalize A = X^{-1}DX, and transform the variable from u to Xu, namely, the characteristic variables. I remember there is a book by Ë®ºèÊÙ,Ãû×Ö´ó¸ÅÊÇһά˫ÇúÐÍÊØºãÂÉ¡£ |
2Â¥2012-05-15 21:30:24
acmuser
Òø³æ (СÓÐÃûÆø)
- Ó¦Öú: 22 (СѧÉú)
- ½ð±Ò: 324.5
- ºì»¨: 1
- Ìû×Ó: 74
- ÔÚÏß: 22.9Сʱ
- ³æºÅ: 1582407
- ×¢²á: 2012-01-18
- ÐÔ±ð: GG
- רҵ: ¼ÆËãÊýѧÓë¿ÆÑ§¹¤³Ì¼ÆËã
3Â¥2012-05-15 23:24:09













»Ø¸´´ËÂ¥