| 查看: 6098 | 回复: 1 | |
zijingniao金虫 (小有名气)
|
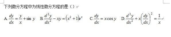
[求助]
如何判断一个微分方程是线性微分方程
|
|
|
|
|
2楼2012-05-14 22:48:50
|
|














回复此楼