版块导航
正在加载中...
客户端APP下载
论文辅导
申博辅导
登录
注册
帖子
帖子
用户
本版
应《网络安全法》要求,自2017年10月1日起,未进行实名认证将不得使用互联网跟帖服务。为保障您的帐号能够正常使用,请尽快对帐号进行手机号验证,感谢您的理解与支持!
24小时热门版块排行榜
>
论坛更新日志
(3007)
>
文献求助
(291)
>
导师招生
(158)
>
休闲灌水
(82)
>
硕博家园
(64)
>
论文投稿
(51)
>
考博
(47)
>
虫友互识
(47)
>
招聘信息布告栏
(45)
>
考研
(42)
>
博后之家
(39)
>
绿色求助(高悬赏)
(38)
>
论文道贺祈福
(36)
>
教师之家
(36)
>
找工作
(34)
>
基金申请
(32)
小木虫论坛-学术科研互动平台
»
化学化工区
»
催化
»
仪器药品
»
TiO2紫外可见漫反射光谱 紫外区的吸收为啥有上升阶段
14
1/2
返回列表
1
2
下一页
查看: 5541 | 回复: 13
只看楼主
@他人
存档
新回复提醒
(忽略)
收藏
在APP中查看
xzrommel
铁虫
(初入文坛)
应助: 0
(幼儿园)
金币: 2
红花: 1
帖子: 28
在线: 45.7小时
虫号: 1422725
注册: 2011-09-29
专业: 催化化学
[
求助
]
TiO2紫外可见漫反射光谱 紫外区的吸收为啥有上升阶段
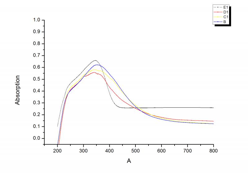
为什么我做的不同含量掺杂的TiO2在紫外区的吸收有一个上升过程,并且在200nm左右出现了负值。并且纯TiO2(图中黑线)在500nm后,与掺杂的相比,仍由相对较大的吸收?
回复此楼
» 猜你喜欢
中国水产科学研究院黄海水产研究所博士后科研工作站2026年博士后招收公告
已经有0人回复
大连海事大学国家级人才团队2026年博士研究生招生启事(氢能)
已经有10人回复
化学工程及工业化学论文润色/翻译怎么收费?
已经有261人回复
国家级人才课题组招收2026年入学博士
已经有6人回复
意大利米兰理工大学急聘CSC公派留学博士生(物理或无机材料科学方向)
已经有44人回复
求加氢处理工艺与工程(第二版)pdf 李大东 中国石化出版社 9787511436689
已经有0人回复
新加坡ASTAR招收CSC或学校资助联培博士生/访问学生
已经有1人回复
求助Amsterdam Density Functional
已经有1人回复
Postdoctoral Research Fellow Position in Causal Inference Weill CorneIl Medicine
已经有6人回复
武汉纺织大学全国重点实验室陈嵘教授团队招收2026级学术/专业型硕士研究生
已经有0人回复
» 本主题相关价值贴推荐,对您同样有帮助:
可否通过漫反射光谱得到粉末材料的吸收系数和散射系数?
已经有5人回复
关于固体粉末紫外可见的漫反射的测量
已经有7人回复
UV-VIS漫反射的样品制备交流
已经有17人回复
关于UV-VIS漫反射的表征分析
已经有20人回复
关于粉体紫外可见吸收/漫反射光谱的测试:仪器使用/样品制备/数据处理
已经有3人回复
不同形貌TiO2吸收光谱分析
已经有6人回复
如何通过紫外漫反射光谱中吸光度和波长的关系得到半导体的带隙能
已经有7人回复
TiO2(P25)的禁带宽度是多少,能不能提供其紫外可见漫反射谱图
已经有8人回复
Fe(NO3)3溶液紫外可见光谱分析
已经有10人回复
为什么合成的TiO2纳米粒子(rutile结构)的紫外光谱峰值出现在208nm?
已经有5人回复
紫外可见吸收光谱为什么是个连续的谱线?
已经有5人回复
如果TiO2的紫外吸收峰是这样的,意义大吗
已经有7人回复
不同颜色的TiO2纳米管阵列薄膜的UV-Vis吸收光谱
已经有16人回复
纳米TiO2/CdS/ZnO的光催化性比较
已经有6人回复
如何将漫反射光谱转化为吸收光谱
已经有9人回复
怎么判断紫外-可见漫反射光谱是红移还是蓝移
已经有4人回复
急,溶胶凝胶法怎么制备纯的TiO2,我做出来的不是白色,而且吸收光谱不对啊
已经有32人回复
用紫外-可见漫反射光谱测试方法做对比时样品应注意什么?
已经有6人回复
能不能用VARIAN CARY 50 UV-vis 分光光度计测漫反射吸收光谱
已经有9人回复
金红石TiO2的UV-vis吸收光谱
已经有12人回复
如何利用紫外可见漫反射光谱数据计算半导体的带隙能?
已经有12人回复
【求助】怎样通过TiO2的吸收光谱 确定能带宽度
已经有17人回复
【求助】怎样用紫外吸收光谱图来求TiO2的带隙能,急!
已经有13人回复
【求助】怎么根据紫外漫反射光谱图来计算TiO2的的带隙能
已经有9人回复
【求助】二氧化钛光催化剂UV-vis DRS图谱分析
已经有6人回复
【请教】紫外可见漫反射光谱和可见吸收光谱的带隙哪个更可靠呢?
已经有24人回复
【交流】有关漫反射谱图测量的问题
已经有6人回复
1楼
2012-04-21 00:45:56
已阅
回复此楼
关注TA
给TA发消息
送TA红花
TA的回帖
jinzelvzju
捐助贵宾
(正式写手)
应助: 8
(幼儿园)
金币: 5214.5
散金: 171
红花: 1
帖子: 301
在线: 92.2小时
虫号: 1129920
注册: 2010-10-23
专业: 无机合成和制备化学
【答案】应助回帖
★
感谢参与,应助指数 +1
flylrh: 金币+1, 感谢应助!
2012-04-21 10:18:55
纯TiO2可见是没有吸收的,你的样品可能有问题,有杂质
赞
一下
回复此楼
天行健
2楼
2012-04-21 09:02:24
已阅
回复此楼
关注TA
给TA发消息
送TA红花
TA的回帖
antony19871
木虫
(著名写手)
应助: 61
(初中生)
金币: 3529
散金: 968
红花: 2
帖子: 1219
在线: 314小时
虫号: 1371693
注册: 2011-08-18
性别: GG
专业: 生物无机化学
【答案】应助回帖
感谢参与,应助指数 +1
进行对比的话 最好同一次 做 多个 不同批次做的话 可能基线不是太稳。。
赞
一下
回复此楼
Standard devision
3楼
2012-04-24 09:24:24
已阅
回复此楼
关注TA
给TA发消息
送TA红花
TA的回帖
antony19871
木虫
(著名写手)
应助: 61
(初中生)
金币: 3529
散金: 968
红花: 2
帖子: 1219
在线: 314小时
虫号: 1371693
注册: 2011-08-18
性别: GG
专业: 生物无机化学
【答案】应助回帖
而且你的峰型整体就有问题。。。220nm左右应该会有个小峰的。。
赞
一下
回复此楼
Standard devision
4楼
2012-04-24 09:26:20
已阅
回复此楼
关注TA
给TA发消息
送TA红花
TA的回帖
xzrommel
铁虫
(初入文坛)
应助: 0
(幼儿园)
金币: 2
红花: 1
帖子: 28
在线: 45.7小时
虫号: 1422725
注册: 2011-09-29
专业: 催化化学
引用回帖:
4楼
:
Originally posted by
antony19871
at 2012-04-24 09:26:20:
而且你的峰型整体就有问题。。。220nm左右应该会有个小峰的。。
为什么220nm有个小峰?
赞
一下
回复此楼
5楼
2012-04-25 16:17:42
已阅
回复此楼
关注TA
给TA发消息
送TA红花
TA的回帖
qiaopeisheng
银虫
(正式写手)
应助: 21
(小学生)
金币: 324.7
散金: 30
红花: 5
帖子: 733
在线: 370.2小时
虫号: 1013127
注册: 2010-05-07
性别: GG
专业: 催化化学
【答案】应助回帖
★
感谢参与,应助指数 +1
flylrh: 金币+1, 感谢应助!
2012-04-26 10:19:01
TiO2的话,可能是由于样品量少,厚度小,所以出现吸收,但从一直直线来看没有问题,LZ尽量样品厚度均一看一下吧。
赞
一下
回复此楼
6楼
2012-04-25 18:08:04
已阅
回复此楼
关注TA
给TA发消息
送TA红花
TA的回帖
6304
木虫
(正式写手)
应助: 6
(幼儿园)
金币: 4744.1
红花: 1
帖子: 370
在线: 502.5小时
虫号: 1001585
注册: 2010-04-20
专业: 无机纳米化学
【答案】应助回帖
感谢参与,应助指数 +1
这吸收谱难看 感觉有问题
赞
一下
回复此楼
7楼
2012-04-26 10:05:10
已阅
回复此楼
关注TA
给TA发消息
送TA红花
TA的回帖
antony19871
木虫
(著名写手)
应助: 61
(初中生)
金币: 3529
散金: 968
红花: 2
帖子: 1219
在线: 314小时
虫号: 1371693
注册: 2011-08-18
性别: GG
专业: 生物无机化学
【答案】应助回帖
出现峰 是钛和氧配位的六配位的特征峰。。。
赞
一下
回复此楼
Standard devision
8楼
2012-04-27 12:02:35
已阅
回复此楼
关注TA
给TA发消息
送TA红花
TA的回帖
yandaxiaoliu
金虫
(正式写手)
随风入夜
应助: 5
(幼儿园)
金币: 657.1
散金: 701
红花: 2
帖子: 389
在线: 211.2小时
虫号: 1239710
注册: 2011-03-20
性别: GG
专业: 军队指挥学
请问楼主是对粉末样品进行的检测吗?紫外可见漫反射和紫外可见吸收光谱有啥区别,二者可以转换吗?
赞
一下
回复此楼
每个人都有潜在的能量,只是很容易:被习惯所掩盖,被时间所迷离,被惰性所消磨.
9楼
2012-05-10 15:23:03
已阅
回复此楼
关注TA
给TA发消息
送TA红花
TA的回帖
jorhelwzh
木虫
(著名写手)
应助: 66
(初中生)
金币: 2535.8
红花: 9
帖子: 1331
在线: 256.9小时
虫号: 236724
注册: 2006-04-03
专业: 环境污染化学
这应该是基线没校正吧。按理说,图不应该是这样的。
赞
一下
回复此楼
10楼
2012-05-10 18:19:50
已阅
回复此楼
关注TA
给TA发消息
送TA红花
TA的回帖
相关版块跳转
有机交流
有机资源
高分子
无机/物化
分析
催化
工艺技术
化工设备
石油化工
精细化工
电化学
环境
SciFinder/Reaxys
我要订阅楼主
xzrommel
的主题更新
14
1/2
返回列表
1
2
下一页
如果回帖内容含有宣传信息,请如实选中。否则帐号将被全论坛禁言
普通表情
龙
兔
虎
猫
百度网盘
|
360云盘
|
千易网盘
|
华为网盘
在新窗口页面中打开自己喜欢的网盘网站,将文件上传后,然后将下载链接复制到帖子内容中就可以了。
信息提示
关闭
请填处理意见
关闭
确定