24小时热门版块排行榜    

查看: 618  |  回复: 2

墨羽揚輕

新虫 (初入文坛)

[求助] 【求助】帮忙看一下这个求导是怎么算出来的,希望写出步骤

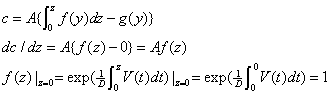
怎么由上式推出下式,请写步骤,谢谢

怎么由上式推出下式的
回复此楼

» 猜你喜欢

» 本主题相关价值贴推荐,对您同样有帮助:

已阅   回复此楼   关注TA 给TA发消息 送TA红花 TA的回帖

xiuyouxu

铁杆木虫 (职业作家)

【答案】应助回帖

★ ★
感谢参与,应助指数 +1
墨羽揚輕: 金币+2, 有帮助 2012-04-13 12:59:29
两个外层积分的被积函数都没有z,那么对z求导应该就是对积分限中的z求导,z在上限,从而dc/dz=A成立。
忘记自己,忘记一切烦恼(欢迎访问我的网站兆字节:http://www.mathbeta.com/)
2楼2012-04-13 11:38:43
已阅   回复此楼   关注TA 给TA发消息 送TA红花 TA的回帖

xiangqianzsh

木虫 (著名写手)

3楼2012-04-13 16:25:33
已阅   回复此楼   关注TA 给TA发消息 送TA红花 TA的回帖
相关版块跳转 我要订阅楼主 墨羽揚輕 的主题更新
最具人气热帖推荐 [查看全部] 作者 回/看 最后发表
[考研] 0854控制工程 359求调剂 可跨专业 +3 626776879 2026-03-14 8/400 2026-03-16 13:42 by Dream007008
[考研] 材料与化工一志愿南昌大学327求调剂推荐 +7 Ncdx123456 2026-03-13 8/400 2026-03-16 12:15 by karry wen
[考研] 288求调剂 +4 奇点0314 2026-03-14 4/200 2026-03-14 23:04 by JourneyLucky
[考研] 复试调剂 +3 呼呼?~+123456 2026-03-14 3/150 2026-03-14 16:53 by WTUChen
[考研] 【0703化学调剂】-一志愿华中师范大学-六级475 +5 Becho359 2026-03-11 5/250 2026-03-14 11:35 by 哦哦123
[考研] 学硕285求调剂 +13 Wisjxn 2026-03-12 46/2300 2026-03-14 10:33 by JourneyLucky
[考研] 295复试调剂 +5 简木ChuFront 2026-03-09 5/250 2026-03-14 01:29 by JourneyLucky
[考研] 云南财经大学信息学院计算机学硕专硕学位点 +3 zjptai 2026-03-10 5/250 2026-03-14 01:23 by 飞行琦
[考研] 一志愿安徽大学材料工程专硕313分,求调剂的学校 +8 Yu先生 2026-03-10 10/500 2026-03-14 01:04 by JourneyLucky
[考研] 求调剂,一志愿江南大学环境工程085701 +3 Djdjj12 2026-03-10 4/200 2026-03-14 00:31 by JourneyLucky
[考研] 311求调剂 +8 zchqwer 2026-03-10 8/400 2026-03-14 00:01 by JourneyLucky
[考研] 279求调剂 +3 抓着星星的女孩 2026-03-10 3/150 2026-03-13 23:47 by userper
[考研] 341求调剂 +4 番茄头--- 2026-03-10 4/200 2026-03-13 23:12 by JourneyLucky
[考研] 285 求调剂 资源与环境 一志愿北京化工大学 +3 未名考生 2026-03-10 3/150 2026-03-13 23:04 by JourneyLucky
[考研] 求材料调剂 085600英一数二总分302 前三科235 精通机器学习 一志愿哈工大 +4 林yaxin 2026-03-12 4/200 2026-03-13 22:04 by 星空星月
[考研] 【考研调剂求收留】 +3 Ceciilia 2026-03-11 3/150 2026-03-13 20:18 by JourneyLucky
[考研] 材料301分求调剂 +5 Liyouyumairs 2026-03-12 5/250 2026-03-13 14:42 by JourneyLucky
[考研] 0856化学工程280分求调剂 +4 shenzxsn 2026-03-11 4/200 2026-03-13 11:55 by ymwdoctor
[考研] 289求调剂 +3 李政莹 2026-03-12 3/150 2026-03-13 11:02 by 求调剂zz
[考研] 085600 材料与化工 295 求调剂 +10 dream…… 2026-03-10 12/600 2026-03-12 13:46 by dream……
信息提示
请填处理意见