±±¾©Ê¯ÓÍ»¯¹¤Ñ§Ôº2026ÄêÑо¿ÉúÕÐÉú½ÓÊÕµ÷¼Á¹«¸æ
²é¿´: 1931  |  »Ø¸´: 4

cfmzxf84

ľ³æ (ÕýʽдÊÖ)

[ÇóÖú] ÇóÖú£¬ÈçºÎÓ÷¢¹â·¨²â¶¨Ã¸»îKmÖµ

Î񵀿±¾ÉíÊÇ·¢¹âø£¬Í¨¹ý¼ÓÈëµ×Îï¾Í¿ÉÒÔ·¢¹âÁË¡£Çó½ÌÔõô²â¶¨µ×ÎïµÄKmÖµ£¬1/v~1/s·¨ÖеÄvÔõôȷ¶¨ÄØ£¿Ð»Ð»
»Ø¸´´ËÂ¥

» ²ÂÄãϲ»¶

» ±¾Ö÷ÌâÏà¹Ø¼ÛÖµÌùÍÆ¼ö£¬¶ÔÄúͬÑùÓаïÖú:

ÒÑÔÄ   »Ø¸´´ËÂ¥   ¹Ø×¢TA ¸øTA·¢ÏûÏ¢ ËÍTAºì»¨ TAµÄ»ØÌû

imyting

ÖÁ×ðľ³æ (ÕýʽдÊÖ)

¡¾´ð°¸¡¿Ó¦Öú»ØÌû

¡ï ¡ï ¡ï ¡ï ¡ï ¡ï ¡ï
¸Ðл²ÎÓ룬ӦÖúÖ¸Êý +1
cfmzxf84: ½ð±Ò+5 2012-04-11 08:11:47
Сµ¤Ä¾Ä¾: ½ð±Ò+2, ¹ÄÀøÓ¦Öú 2012-04-11 13:40:31
²»Ì«È·¶¨£¬Ê×ÏÈÄãµÄµ×Îï¼ÓÉÏÈ¥Ö®ºóÆä·¢¹âÇ¿¶È±ØÐëºÍʱ¼äÓйØÏµ£¬ÕâÑùÄã¾Í¿ÉÒÔͨ¹ý¼ì²â·¢¹âÇ¿¶ÈÓëʱ¼äÀ´×÷ͼ£¬È·¶¨Ò»¶¨µ×ÎïŨ¶Èϵķ´Ó¦ËÙ¶ÈÁË¡£È»ºóÔÙË«µ¹Êý×÷ͼ¡£
ÓÆÔÕÓÎÔÕ×öʵÑ飬³ÉÙâ°ÜÙâÎÒËæ±ã
2Â¥2012-04-10 10:50:25
ÒÑÔÄ   »Ø¸´´ËÂ¥   ¹Ø×¢TA ¸øTA·¢ÏûÏ¢ ËÍTAºì»¨ TAµÄ»ØÌû

cfmzxf84

ľ³æ (ÕýʽдÊÖ)

ÒýÓûØÌû:
2Â¥: Originally posted by imyting at 2012-04-10 10:50:25:
²»Ì«È·¶¨£¬Ê×ÏÈÄãµÄµ×Îï¼ÓÉÏÈ¥Ö®ºóÆä·¢¹âÇ¿¶È±ØÐëºÍʱ¼äÓйØÏµ£¬ÕâÑùÄã¾Í¿ÉÒÔͨ¹ý¼ì²â·¢¹âÇ¿¶ÈÓëʱ¼äÀ´×÷ͼ£¬È·¶¨Ò»¶¨µ×ÎïŨ¶Èϵķ´Ó¦ËÙ¶ÈÁË¡£È»ºóÔÙË«µ¹Êý×÷ͼ¡£

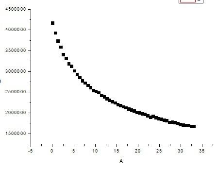
ÊdzɹØÏµµÄ£¬Èçͼ
Ëæ×Åʱ¼äµÄÑÓ³¤£¬·¢¹â¶ÈϽµ
¾ßÌå¿ÉÒÔÔõô×öÄØ£¿Ð»Ð»
ÕâÊÇ0.5min¿ªÊ¼²âµÄͼ
ÎÒÊÔÑé·´Ó¦ÊÇÈ¡15minµÄµã


3Â¥2012-04-11 08:10:23
ÒÑÔÄ   »Ø¸´´ËÂ¥   ¹Ø×¢TA ¸øTA·¢ÏûÏ¢ ËÍTAºì»¨ TAµÄ»ØÌû

imyting

ÖÁ×ðľ³æ (ÕýʽдÊÖ)

ÄãÕâÖ»ÊÇÒ»¸öµ×ÎïŨ¶È£¬ÄãÐèҪѡÔñÖÁÉÙ5¸öµ×ÎïŨ¶È£¬Ã¿¸öµ×ÎïŨ¶È²âÈý´ÎƽÐÐÊÔÑ飻Ȼºó×öÇÐÏߣ¨Èçͼ£¬Ò²¿ÉÖ±½ÓÈ¡Ç°Ãæ¼¸¸öµã×öÏßÐԻع飩£¬ÇÐÏßбÂʵÄÏà·´Êý¾ÍÊdzõËÙ¶ÈÁË£¬ÓÐÁ˳õËٶȺ͵×ÎïŨ¶È£¬ºóÃæ¾Í²»Óöà˵Á˰ɣ¿¾ÍÊÇË«µ¹Êý×÷ͼÁË£¬×¢Òⵥλ»»Ëã¾ÍºÃ£¡


ÓÆÔÕÓÎÔÕ×öʵÑ飬³ÉÙâ°ÜÙâÎÒËæ±ã
4Â¥2012-04-11 09:08:57
ÒÑÔÄ   »Ø¸´´ËÂ¥   ¹Ø×¢TA ¸øTA·¢ÏûÏ¢ ËÍTAºì»¨ TAµÄ»ØÌû

angler5156

Òø³æ (СÓÐÃûÆø)

ÒýÓûØÌû:
4Â¥: Originally posted by imyting at 2012-04-11 09:08:57
ÄãÕâÖ»ÊÇÒ»¸öµ×ÎïŨ¶È£¬ÄãÐèҪѡÔñÖÁÉÙ5¸öµ×ÎïŨ¶È£¬Ã¿¸öµ×ÎïŨ¶È²âÈý´ÎƽÐÐÊÔÑ飻Ȼºó×öÇÐÏߣ¨Èçͼ£¬Ò²¿ÉÖ±½ÓÈ¡Ç°Ãæ¼¸¸öµã×öÏßÐԻع飩£¬ÇÐÏßбÂʵÄÏà·´Êý¾ÍÊdzõËÙ¶ÈÁË£¬ÓÐÁ˳õËٶȺ͵×ÎïŨ¶È£¬ºóÃæ¾Í²»Óöà˵Á衃 ...

Õâ¸öÇÐÏßÈçºÎÑ¡¶¨£¬ÈçºÎÅж¨¶¼ºÜ²»Ã÷È·°¡¡£Í¬Ã¸µÄŨ¶È£¬²»Í¬µ×ÎïŨ¶È£¬ÈçºÎÑ¡ÔñÄØ¡£
5Â¥2014-01-02 10:57:19
ÒÑÔÄ   »Ø¸´´ËÂ¥   ¹Ø×¢TA ¸øTA·¢ÏûÏ¢ ËÍTAºì»¨ TAµÄ»ØÌû
Ïà¹Ø°æ¿éÌø×ª ÎÒÒª¶©ÔÄÂ¥Ö÷ cfmzxf84 µÄÖ÷Ìâ¸üÐÂ
×î¾ßÈËÆøÈÈÌûÍÆ¼ö [²é¿´È«²¿] ×÷Õß »Ø/¿´ ×îºó·¢±í
[¿¼ÑÐ] ¸´ÊÔµ÷¼Á +7 ´ºÈÕÀ´ÐÅ- 2026-04-03 7/350 2026-04-05 12:50 by Hdyxbekcb
[¿¼ÑÐ] ÕÒµ÷¼Á +7 ³þÇÇÇÇ 2026-04-01 7/350 2026-04-05 09:07 by dick_runner
[¿¼ÑÐ] 322Çóµ÷¼Á£ºÒ»Ö¾Ô¸ºþÄÏ´óѧ ²ÄÁÏÓ뻯¹¤£¨085600£©£¬ÒѹýÁù¼¶¡£ +16 XXСµË 2026-03-29 18/900 2026-04-05 08:20 by gaoxiaoniuma
[¿¼ÑÐ] ²ÄÁÏÇóµ÷¼Á +10 ÄØÄØÄÝÄÝ 2026-04-01 10/500 2026-04-04 23:12 by Î޼ʵIJÝÔ­
[¿¼ÑÐ] ²ÄÁϵ÷¼Á +18 Ò»ÑùYWY 2026-04-02 19/950 2026-04-04 22:14 by hemengdong
[¿¼ÑÐ] 321Çóµ÷¼Á +13 ÈÏÕæÇóÉÏѧ 2026-04-02 13/650 2026-04-04 18:23 by macy2011
[¿¼ÑÐ] 319Çóµ÷¼Á +4 ÐÇÐDz»Õ£ÑÛà¶ 2026-04-03 4/200 2026-04-04 16:25 by ÖзÉÔº¿Õ¹ÜѧԺÑ
[¿¼ÑÐ] Ò»Ö¾Ô¸0817»¯Ñ§¹¤³ÌÓë¼¼Êõ£¬Çóµ÷¼Á +24 ÎÒ²»ÊÇÖ»Òò 2026-04-02 28/1400 2026-04-04 15:15 by dongzh2009
[¿¼ÑÐ] 22408£¬264Çóµ÷¼Á +3 ywh729 2026-04-03 4/200 2026-04-04 11:04 by ywh729
[¿¼ÑÐ] µ÷¼Á0855-288 +5 xÐܶþa 2026-04-03 5/250 2026-04-04 00:19 by Öí»á·É
[¿¼ÑÐ] Ò»Ö¾Ô¸ÖйúʯÓÍ´óѧ»¯Ñ§¹¤³Ì323·ÖÇóµ÷¼Á +4 »¯¹¤×¨Ë¶323·Ö 2026-04-03 6/300 2026-04-03 22:12 by dongzh2009
[¿¼ÑÐ] 312Çóµ÷¼Á +6 ССī123 2026-04-02 7/350 2026-04-03 07:32 by jsw79
[¿¼ÑÐ] 264·Ö£¬ÇóÈÎÒ⹤¿Æµ÷¼Á +4 zzlqwq 2026-03-29 5/250 2026-04-02 17:17 by ºÎÔø¼¸ºÎ
[¿¼ÑÐ] µ÷¼Á +3 ºÃºÃ¶ÁÊé¡£ 2026-04-01 6/300 2026-04-02 15:49 by liumengping
[¿¼ÑÐ] ѧ˶»¯Ñ§¹¤³ÌÓë¼¼Êõ£¬Ò»Ö¾Ô¸Öйúº£Ñó´óѧ320+Çóµ÷¼Á +8 ÅûÐÇºÓ 2026-04-02 8/400 2026-04-02 14:12 by oooqiao
[¿¼ÑÐ] 311Çóµ÷¼Á +14 À¶ÔÂÁÁÁÁ 2026-03-30 14/700 2026-04-02 12:18 by 1753564080
[¿¼ÑÐ] 377Çóµ÷¼Á +3 RASKIN 2026-04-02 3/150 2026-04-02 09:45 by zzchen2000
[¿¼ÑÐ] ʳƷѧ˶362Çóµ÷¼Á +3 xuanxianxian 2026-04-01 3/150 2026-04-01 21:05 by °¡Àî999
[˶²©¼ÒÔ°] ²©Ò»±»ËͳöÁªÅà¸Ð¾õ²»ÊÊÓ¦Ôõô°ì +3 È«´åµÄ¹· 2026-03-31 3/150 2026-04-01 10:44 by 328838485
[¿¼ÑÐ] 323·Ö ʳƷÓëÓªÑøµ÷¼Á +3 ºÙooo 2026-03-31 3/150 2026-03-31 09:38 by longlotian
ÐÅÏ¢Ìáʾ
ÇëÌî´¦ÀíÒâ¼û