24小时热门版块排行榜    

查看: 1211  |  回复: 8

crane1974

新虫 (著名写手)


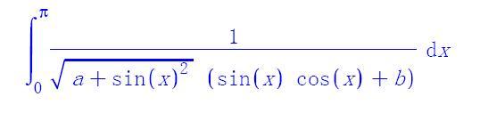
[交流] 这个函数的定积分有无解析结果?

一个三角函数的复合函数的积分,maple计算没有结果,积分表也没有。各位帮忙看看,有无解析结果?

积分表达式
回复此楼

» 猜你喜欢

» 本主题相关价值贴推荐,对您同样有帮助:

» 抢金币啦!回帖就可以得到:

查看全部散金贴

已阅   回复此楼   关注TA 给TA发消息 送TA红花 TA的回帖

snowwhite1

木虫 (小有名气)



crane1974(金币+1): 谢谢参与
一般没有。当b=0或a=0时可能有。好久没做了。
2楼2012-04-02 16:02:16
已阅   回复此楼   关注TA 给TA发消息 送TA红花 TA的回帖

math2000

铁杆木虫 (职业作家)



crane1974(金币+1): 谢谢参与
没有详细考虑,直观上,可以将sinxcosx转换为sin2x
(sinx)^2也转换成cos2x,这样就变成无理函数的积分。楼主自己试试
3楼2012-04-02 19:11:05
已阅   回复此楼   关注TA 给TA发消息 送TA红花 TA的回帖

金泰熙

新虫 (初入文坛)



crane1974(金币+1): 谢谢参与
一般没有。当b=0或a=0时可能有。好久没做了。
4楼2012-04-03 09:01:39
已阅   回复此楼   关注TA 给TA发消息 送TA红花 TA的回帖

匿名

用户注销 (文坛精英)



crane1974(金币+1): 谢谢参与
本帖仅楼主可见
5楼2012-04-03 13:04:14
已阅   申请数学EPI   回复此楼   编辑   查看我的主页

王蓝的蓝

金虫 (初入文坛)



crane1974(金币+1): 谢谢参与
这个可以试试用 复化求积公式 求解,当然得出的的是近似解,精度根据需求定

[ Last edited by 王蓝的蓝 on 2012-4-4 at 10:47 ]
7楼2012-04-04 10:45:58
已阅   回复此楼   关注TA 给TA发消息 送TA红花 TA的回帖

dxwbucea

铁虫 (著名写手)



crane1974(金币+1): 谢谢参与
用Mathematica求解也没有结果。是不好求。
只能求数值结果了。
8楼2012-04-04 14:21:59
已阅   回复此楼   关注TA 给TA发消息 送TA红花 TA的回帖

jbyetz

木虫 (正式写手)



crane1974(金币+1): 谢谢参与
数值解吧
9楼2012-04-05 10:56:23
已阅   回复此楼   关注TA 给TA发消息 送TA红花 TA的回帖
简单回复
2012-04-04 10:45   回复  
crane1974(金币+1): 谢谢参与
[ Last edited by 王蓝的蓝 on 2012-4-4 at 10:48 ]
相关版块跳转 我要订阅楼主 crane1974 的主题更新
普通表情 高级回复 (可上传附件)
最具人气热帖推荐 [查看全部] 作者 回/看 最后发表
[考研] 289求调剂 +7 怀瑾握瑜l 2026-03-20 7/350 2026-03-22 15:57 by ColorlessPI
[考研] 一志愿北京化工大学 070300 学硕 336分 求调剂 +3 vv迷 2026-03-22 3/150 2026-03-22 15:18 by 杨杨杨紫
[考研] 求调剂 +5 Zhangbod 2026-03-21 7/350 2026-03-22 13:13 by Zhangbod
[考研] 303求调剂 +5 安忆灵 2026-03-22 6/300 2026-03-22 12:46 by 素颜倾城1988
[考博] 招收博士1-2人 +3 QGZDSYS 2026-03-18 4/200 2026-03-22 10:25 by QGZDSYS
[基金申请] 山东省面上项目限额评审 +4 石瑞0426 2026-03-19 4/200 2026-03-22 08:50 by Wei_ren
[考研] 286分人工智能专业请求调剂愿意跨考! +4 lemonzzn 2026-03-17 8/400 2026-03-21 22:49 by lemonzzn
[考研] 0703化学调剂 +4 妮妮ninicgb 2026-03-21 4/200 2026-03-21 18:39 by 学员8dgXkO
[考研] 【考研调剂】化学专业 281分,一志愿四川大学,诚心求调剂 +11 吃吃吃才有意义 2026-03-19 11/550 2026-03-21 18:23 by 学员8dgXkO
[考研] 311求调剂 +3 勇敢的小吴 2026-03-20 3/150 2026-03-21 17:40 by ColorlessPI
[考研] 求调剂 +3 .m.. 2026-03-21 4/200 2026-03-21 16:25 by barlinike
[考研] 310求调剂 +3 baibai1314 2026-03-16 3/150 2026-03-21 03:56 by JourneyLucky
[考研] 一志愿中国石油大学(华东) 本科齐鲁工业大学 +3 石能伟 2026-03-17 3/150 2026-03-21 02:22 by JourneyLucky
[考研] 材料与化工 322求调剂 +4 然11 2026-03-19 4/200 2026-03-20 22:12 by luoyongfeng
[考研] A区线材料学调剂 +5 周周无极 2026-03-20 5/250 2026-03-20 21:33 by laoshidan
[考研] 求调剂 +3 @taotao 2026-03-20 3/150 2026-03-20 19:35 by JourneyLucky
[考研] 环境工程调剂 +9 大可digkids 2026-03-16 9/450 2026-03-20 17:38 by 醉在风里
[考研] 08工学调剂 +5 用户573181 2026-03-20 5/250 2026-03-20 15:47 by xia_2003
[考博] 26博士申请 +3 1042136743 2026-03-17 3/150 2026-03-17 23:30 by 轻松不少随
[考研] 070303 总分349求调剂 +3 LJY9966 2026-03-15 5/250 2026-03-16 14:24 by xwxstudy
信息提示
请填处理意见