| 查看: 2685 | 回复: 3 | |
[求助]
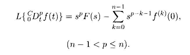
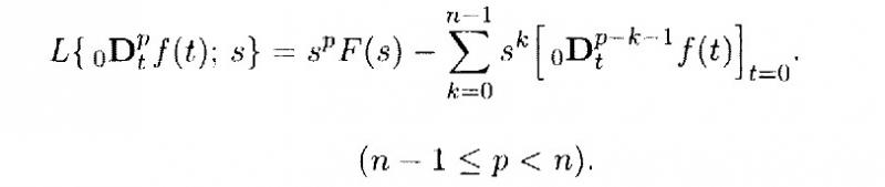
分数阶微分初值不为0的拉普拉斯变换会怎么样?
|
|
|
|
|
cbzeng金虫 (小有名气)
|
|
![]() |
|
|
2楼2012-03-30 23:45:29
|
|
|
3楼2012-03-31 16:30:20
|
|
|
4楼2022-11-20 16:56:21
|
|
















回复此楼
