| 查看: 2525 | 回复: 14 | |||
li_junxia6281木虫 (著名写手)
|
[求助]
求助【线状三核Mn配合物】的磁性问题。100金币感谢应助者!
|
||
测试 | 晶体解析相关 |
» 猜你喜欢
台州学院有序多孔材料团队最后冲刺,同学们别错过哦,请速联系!
已经有0人回复
江西科技师范大学物理化学课题组接收调剂生,名额还有,速来
已经有0人回复
无机化学论文润色/翻译怎么收费?
已经有184人回复
求碳酸钠和碳酸氢钠的晶胞结构图或晶体结构图
已经有0人回复
求碳酸钠和碳酸氢钠的晶胞结构图或晶体结构图
已经有0人回复
江西科技师范大学物理化学课题组接收调剂生,12点开启,速来
已经有0人回复
【2026 考研调剂】哈尔滨工程大学 招收学硕调剂生(英语一、数学一)
已经有0人回复
四川轻化工大学化学与环境工程学院 付昱教授课题组招收调剂硕士研究生
已经有11人回复
盐城工学院材料科学与工程学院交通运输专业硕士研究生调剂招生
已经有0人回复
» 本主题相关价值贴推荐,对您同样有帮助:
关于s1优化的问题。望大家讨论一下
已经有8人回复
100金币急求道客巴巴或百度文库帮忙下载一个PPT课件,非常感谢!在线等,谢谢!有链接
已经有1人回复
100金币在线急求助BC类错误处理!
已经有4人回复
配合物-磁性分析
已经有20人回复
米有币子了。求助一个问题,磁性材料中的Tc是什么意思。
已经有6人回复
急求一个晶体磁性质问题,回复文章的修改意见!!!!!
已经有3人回复
30个金币求助磁性材料测试高手
已经有9人回复
请教怎么用MS构建一个金属配合物的晶体结构,金币不是问题!
已经有13人回复
Mn配合物有没有无色的
已经有11人回复
晶体一定有一维、二维、三维这样的结构吗
已经有5人回复
【通告】晶体版关于退还剩余悬赏金币的规定(试行)
已经有11人回复
100金币求解决如下问题,谢谢啦
已经有5人回复
15金币求助核磁分析软件nuts!!
已经有11人回复
【求助】请教一个金属与有机化合物配合物的问题,为什么打不出核磁!
已经有36人回复
【求助】Z. Anorg. Allg. Chem.这本杂志快吗
已经有3人回复
【求助】磁珠定义
已经有6人回复
wangningsir
木虫 (著名写手)
上书房行走
- CMEI: 1
- 应助: 87 (初中生)
- 金币: 6231.6
- 散金: 655
- 红花: 36
- 帖子: 1423
- 在线: 718.5小时
- 虫号: 431539
- 注册: 2007-08-11
- 性别: GG
- 专业: 无机非金属基复合材料
【答案】应助回帖
★ ★
lijunjie84: 金币+2 2012-03-31 11:38:20
lijunjie84: , 感谢应祝! 2012-03-31 11:38:29
lijunjie84: 回帖置顶 2012-03-31 11:38:33
lijunjie84: 金币+2 2012-03-31 11:38:20
lijunjie84: , 感谢应祝! 2012-03-31 11:38:29
lijunjie84: 回帖置顶 2012-03-31 11:38:33
|
Equation: double k=0.69503887; double NB2=0.260727165; double x=1/(k*T); double S13; double St; double EST; double SS; double SSS; double up; double down; up=0; down=0; for (S13=abs(S1-S3);S13<=(S1+S3);S13=S13+1) { for (St=abs(S13-S2);St<=(S13+S2);St=St+1) { EST=J1*St*(St+1)+(a-1)*J1*S13*(S13+1); SS=2*St+1; SSS=St*(St+1)*(2*St+1); up=up+SSS*exp(EST*x); down=down+SS*exp(EST*x); } } double chi=NB2*g^2*up/(3*k*(T-Theta)*down); double chid=1/chi-2.0*zJ/(NB2*g^2); ChimT=T*(1/chid+TIP); Fitting result: Reduced Chi-Sqr 7.76916E-5 Adj. R-Square 0.99935 Value Standard Error ChimT S1 2.5 0 ChimT S2 2.5 0 ChimT S3 2.5 0 ChimT a 0 0 ChimT g 1.85659 2.47673E-4 ChimT J1 -8.21926E-7 0.70726 ChimT zJ -0.02406 0.3141 ChimT Theta 0 0 ChimT TIP -5.17729E-4 1.8158E-5 将公式以originC的形式在origin8.0软件中建立公式,相关拟合参数为S1,S2,S3,a,g,J1,zJ,Theta, TIP. 此公式适用于各向同性的三核顺磁离子磁化率拟合。a=1代表等边三角形结构,a=0代表线性结构,其他代表等腰三角形。任何三核(同核、异核)的各项同性顺磁离子都适用。公式是科学网一高人根据van-vleck撰写的,受益匪浅,以此类推,双核、四核皆可推导。只要能推导出E(S)表达式,一切都好办 |

5楼2012-03-31 00:29:05
wangningsir
木虫 (著名写手)
上书房行走
- CMEI: 1
- 应助: 87 (初中生)
- 金币: 6231.6
- 散金: 655
- 红花: 36
- 帖子: 1423
- 在线: 718.5小时
- 虫号: 431539
- 注册: 2007-08-11
- 性别: GG
- 专业: 无机非金属基复合材料
【答案】应助回帖
★
li_junxia6281: 回帖置顶 2012-03-31 18:53:44
huangjr: 金币+1, 感谢回帖交流~ 2012-04-01 14:18:25
li_junxia6281: 回帖置顶 2012-03-31 18:53:44
huangjr: 金币+1, 感谢回帖交流~ 2012-04-01 14:18:25
|
拟合的时候应先将zJ固定为零,这样得到的J1值比较合理,-0.09cm^-1应该比较符合你的情况。 Reduced Chi-Sqr 8.43729E-5 Adj. R-Square 0.9993 Value Standard Error ChimT S1 2.5 0 ChimT S2 2.5 0 ChimT S3 2.5 0 ChimT a 0 0 ChimT g 1.85607 0 ChimT J1 -0.09482 0.00136 ChimT zJ 0 0 ChimT Theta 0.48244 0.01341 ChimT TIP -4.93426E-4 9.07843E-6 |
» 本帖附件资源列表
-
欢迎监督和反馈:小木虫仅提供交流平台,不对该内容负责。
本内容由用户自主发布,如果其内容涉及到知识产权问题,其责任在于用户本人,如对版权有异议,请联系邮箱:xiaomuchong@tal.com - 附件 1 : Mn-Hedtamag-4-good.opj
2012-03-31 17:08:17, 296.23 K
» 本帖已获得的红花(最新10朵)

6楼2012-03-31 17:08:20
2楼2012-03-30 15:08:21
wangningsir
木虫 (著名写手)
上书房行走
- CMEI: 1
- 应助: 87 (初中生)
- 金币: 6231.6
- 散金: 655
- 红花: 36
- 帖子: 1423
- 在线: 718.5小时
- 虫号: 431539
- 注册: 2007-08-11
- 性别: GG
- 专业: 无机非金属基复合材料
【答案】应助回帖
★
感谢参与,应助指数 +1
木瓜少爷: 金币+1, 鼓励回帖应助~ 2012-03-31 00:04:58
感谢参与,应助指数 +1
木瓜少爷: 金币+1, 鼓励回帖应助~ 2012-03-31 00:04:58
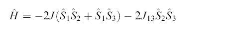
| 见附件,用线性三核哈密顿量 |
» 本帖附件资源列表
-
欢迎监督和反馈:小木虫仅提供交流平台,不对该内容负责。
本内容由用户自主发布,如果其内容涉及到知识产权问题,其责任在于用户本人,如对版权有异议,请联系邮箱:xiaomuchong@tal.com - 附件 1 : Mn-Hedtamag-4-good.opj
2012-03-30 19:58:23, 427.17 K

3楼2012-03-30 19:59:03
C橡树C
木虫 (小有名气)
- 应助: 20 (小学生)
- 金币: 3000.4
- 散金: 102
- 红花: 4
- 帖子: 161
- 在线: 284.5小时
- 虫号: 1093784
- 注册: 2010-09-09
- 专业: 配位化学
【答案】应助回帖
★ ★ ★ ★
感谢参与,应助指数 +1
木瓜少爷: 金币+1, 鼓励回帖应助~ 2012-03-31 00:05:09
li_junxia6281: 金币+3, ★★★很有帮助, 谢谢!辛苦啦!顺祝节日快乐! 2012-04-02 17:34:16
感谢参与,应助指数 +1
木瓜少爷: 金币+1, 鼓励回帖应助~ 2012-03-31 00:05:09
li_junxia6281: 金币+3, ★★★很有帮助, 谢谢!辛苦啦!顺祝节日快乐! 2012-04-02 17:34:16
| 三核Mn的拟合公式,你自己把它编辑成ORIGING能识别的公式拟合下! |
» 本帖附件资源列表
-
欢迎监督和反馈:小木虫仅提供交流平台,不对该内容负责。
本内容由用户自主发布,如果其内容涉及到知识产权问题,其责任在于用户本人,如对版权有异议,请联系邮箱:xiaomuchong@tal.com - 附件 1 : ic1008494_si_001.pdf
2012-03-30 23:28:16, 330.41 K
4楼2012-03-30 23:28:18
li_junxia6281
木虫 (著名写手)
- 应助: 0 (幼儿园)
- 金币: 2034.2
- 散金: 125
- 红花: 6
- 帖子: 1590
- 在线: 115.6小时
- 虫号: 549639
- 注册: 2008-04-21
- 专业: 配位化学
7楼2012-03-31 22:37:03
wangningsir
木虫 (著名写手)
上书房行走
- CMEI: 1
- 应助: 87 (初中生)
- 金币: 6231.6
- 散金: 655
- 红花: 36
- 帖子: 1423
- 在线: 718.5小时
- 虫号: 431539
- 注册: 2007-08-11
- 性别: GG
- 专业: 无机非金属基复合材料

8楼2012-04-01 01:17:49
C橡树C
木虫 (小有名气)
- 应助: 20 (小学生)
- 金币: 3000.4
- 散金: 102
- 红花: 4
- 帖子: 161
- 在线: 284.5小时
- 虫号: 1093784
- 注册: 2010-09-09
- 专业: 配位化学
9楼2012-04-01 09:27:56
li_junxia6281
木虫 (著名写手)
- 应助: 0 (幼儿园)
- 金币: 2034.2
- 散金: 125
- 红花: 6
- 帖子: 1590
- 在线: 115.6小时
- 虫号: 549639
- 注册: 2008-04-21
- 专业: 配位化学
10楼2012-04-02 11:51:00














回复此楼
li_junxia6281