²é¿´: 871  |  »Ø¸´: 7

08jmliu

гæ (СÓÐÃûÆø)


[½»Á÷] Çó½âÒ»¸ö¼òµ¥µÄ·½³Ì

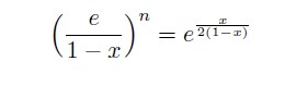
Çó½âÈçÏÂÒ»¸ö¼òµ¥µÄ·½³Ì

¼òµ¥·½³Ì
»Ø¸´´ËÂ¥

» ²ÂÄãϲ»¶

» ±¾Ö÷ÌâÏà¹Ø¼ÛÖµÌùÍÆ¼ö£¬¶ÔÄúͬÑùÓаïÖú:

» ÇÀ½ð±ÒÀ²£¡»ØÌû¾Í¿ÉÒԵõ½:

²é¿´È«²¿É¢½ðÌù

ÒÑÔÄ   »Ø¸´´ËÂ¥   ¹Ø×¢TA ¸øTA·¢ÏûÏ¢ ËÍTAºì»¨ TAµÄ»ØÌû
¡ï
Сľ³æ: ½ð±Ò+0.5, ¸ø¸öºì°ü£¬Ð»Ð»»ØÌû
¼òµ¥²»¼òµ¥²»ÄÜÖ»¿´ÐÎʽ£¬ÕâÊǸö·ÇÏßÐÔ·½³Ì£¬½âÎöÓ¦¸ÃºÜÄÑ»òÕßûÓнâÎö½â
2Â¥2012-03-19 10:26:28
ÒÑÔÄ   »Ø¸´´ËÂ¥   ¹Ø×¢TA ¸øTA·¢ÏûÏ¢ ËÍTAºì»¨ TAµÄ»ØÌû

skyeraser

Òø³æ (³õÈëÎÄ̳)


¡ï
Сľ³æ: ½ð±Ò+0.5, ¸ø¸öºì°ü£¬Ð»Ð»»ØÌû
ÕâÓ¦¸ÃÊôÓÚ³¬Ô½·½³ÌµÄ·¶Î§°É£¬½âÓ¦¸ÃÊǰüº¬Lambert-W º¯ÊýµÄijÖÖÐÎʽ£¬Äã¿ÉÒÔÓÃMatlab»òMaple½âһϿ´¿´
3Â¥2012-03-19 12:57:45
ÒÑÔÄ   »Ø¸´´ËÂ¥   ¹Ø×¢TA ¸øTA·¢ÏûÏ¢ ËÍTAºì»¨ TAµÄ»ØÌû

wxg0403

ľ³æ (ÖøÃûдÊÖ)


ÒÔÎҵľ­ÑéÀ´¿´´Î·½³Ì³¬Ô½ÁËÏßÐÔ·½³ÌµÄ·¶Î§£¡Ó¦¸ÃÕÒԺʿ½â¾ö
4Â¥2012-03-19 16:49:56
ÒÑÔÄ   »Ø¸´´ËÂ¥   ¹Ø×¢TA ¸øTA·¢ÏûÏ¢ ËÍTAºì»¨ TAµÄ»ØÌû

¿Ýìø

½û³æ (ÖøÃûдÊÖ)

¡ï
Сľ³æ: ½ð±Ò+0.5, ¸ø¸öºì°ü£¬Ð»Ð»»ØÌû
±¾ÌûÄÚÈݱ»ÆÁ±Î

5Â¥2012-03-20 09:54:45
ÒÑÔÄ   »Ø¸´´ËÂ¥   ¹Ø×¢TA ¸øTA·¢ÏûÏ¢ ËÍTAºì»¨ TAµÄ»ØÌû

shunfeng330

Ìú³æ (СÓÐÃûÆø)


¡ï
Сľ³æ: ½ð±Ò+0.5, ¸ø¸öºì°ü£¬Ð»Ð»»ØÌû
ÊýÖµ·½·¨½â¾ö£¬Òª²»ÎÞ·¨
6Â¥2012-03-20 14:01:41
ÒÑÔÄ   »Ø¸´´ËÂ¥   ¹Ø×¢TA ¸øTA·¢ÏûÏ¢ ËÍTAºì»¨ TAµÄ»ØÌû

chenpeier

ľ³æ (Ö°Òµ×÷¼Ò)


¡ï
Сľ³æ: ½ð±Ò+0.5, ¸ø¸öºì°ü£¬Ð»Ð»»ØÌû
Ã÷ÏÔ³¬Ô½·½³Ì£¬¿ÉÒÔ½üËÆÇó½â¡£
7Â¥2012-03-20 14:30:08
ÒÑÔÄ   »Ø¸´´ËÂ¥   ¹Ø×¢TA ¸øTA·¢ÏûÏ¢ ËÍTAºì»¨ TAµÄ»ØÌû

Love_Matrix

ľ³æ (ÕýʽдÊÖ)


8Â¥2012-03-20 22:58:26
ÒÑÔÄ   »Ø¸´´ËÂ¥   ¹Ø×¢TA ¸øTA·¢ÏûÏ¢ ËÍTAºì»¨ TAµÄ»ØÌû
Ïà¹Ø°æ¿éÌø×ª ÎÒÒª¶©ÔÄÂ¥Ö÷ 08jmliu µÄÖ÷Ìâ¸üÐÂ
×î¾ßÈËÆøÈÈÌûÍÆ¼ö [²é¿´È«²¿] ×÷Õß »Ø/¿´ ×îºó·¢±í
[¿¼ÑÐ] 301Çóµ÷¼Á +10 yyÒªÉϰ¶Ñ½ 2026-03-17 10/500 2026-03-21 03:14 by JourneyLucky
[¿¼ÑÐ] 303Çóµ÷¼Á +5 î£08 2026-03-17 7/350 2026-03-21 03:11 by JourneyLucky
[¿¼ÑÐ] 307Çóµ÷¼Á +10 ÀäóÏ123 2026-03-17 10/500 2026-03-21 01:54 by JourneyLucky
[¿¼ÑÐ] ²ÄÁÏ 336 Çóµ÷¼Á +3 An@. 2026-03-18 4/200 2026-03-21 01:39 by JourneyLucky
[¿¼ÑÐ] 295Çóµ÷¼Á +4 Ò»Ö¾Ô¸¾©Çø211 2026-03-18 6/300 2026-03-20 23:41 by JourneyLucky
[¿¼ÑÐ] 0817 »¯Ñ§¹¤³Ì 299·ÖÇóµ÷¼Á ÓпÆÑо­Àú ÓжþÇøÎÄÕ +22 rare12345 2026-03-18 22/1100 2026-03-20 20:39 by zhukairuo
[¿¼ÑÐ] 261ÇóBÇøµ÷¼Á£¬¿ÆÑо­Àú·á¸» +3 Å£Ä̺Üæ 2026-03-20 4/200 2026-03-20 19:34 by JourneyLucky
[¿¼ÑÐ] ¹¤¿Æ²ÄÁÏ085601 279Çóµ÷¼Á +7 À§ÓÚÐdz¿ 2026-03-17 9/450 2026-03-20 17:38 by ÎÞи¿É»÷111
[»ù½ðÉêÇë] ѧУÒѾ­Ìá½»µ½NSFC£¬»¹ÄÜÐÞ¸ÄÂ𣿠40+4 babangida 2026-03-19 8/400 2026-03-20 15:58 by babero
[¿¼ÑÐ] 0856µ÷¼Á£¬ÊÇѧУ¾ÍÈ¥ +8 sllhht 2026-03-19 9/450 2026-03-20 14:25 by ÎÞи¿É»÷111
[¿¼ÑÐ] ÉúÎïѧµ÷¼ÁÕÐÈË£¡£¡£¡ +3 ɽº£Ììá° 2026-03-17 4/200 2026-03-19 21:34 by ÔõôÊÍ»³
[¿¼ÑÐ] 328Çóµ÷¼Á£¬Ó¢ÓïÁù¼¶551£¬ÓпÆÑо­Àú +4 ÉúÎ﹤³Ìµ÷¼Á 2026-03-16 12/600 2026-03-19 11:10 by ÉúÎ﹤³Ìµ÷¼Á
[¿¼ÑÐ] 0703»¯Ñ§ 305Çóµ÷¼Á +4 FY_yy 2026-03-14 4/200 2026-03-19 05:54 by anny19840123
[¿¼ÑÐ] ÉúÎïѧ071000 329·ÖÇóµ÷¼Á +3 ÎÒ°®ÉúÎïÉúÎﰮΠ2026-03-17 3/150 2026-03-18 10:12 by macy2011
[¿¼ÑÐ] Ò»Ö¾Ô¸ÄϾ©´óѧ£¬080500²ÄÁÏ¿ÆÑ§Ó빤³Ì£¬µ÷¼Á +4 Jy? 2026-03-16 4/200 2026-03-17 11:02 by gaoqiong
[¿¼ÑÐ] 283Çóµ÷¼Á +3 Ìý·ç¾ÍÊÇÓꣻ 2026-03-16 3/150 2026-03-17 07:41 by ÈÈÇéɳĮ
[¿¼ÑÐ] 070303 ×Ü·Ö349Çóµ÷¼Á +3 LJY9966 2026-03-15 5/250 2026-03-16 14:24 by xwxstudy
[¿¼ÑÐ] 0856Çóµ÷¼Á +3 ÁõÃÎ΢ 2026-03-15 3/150 2026-03-16 10:00 by houyaoxu
[¿¼ÑÐ] 289Çóµ÷¼Á +4 ÕâôÃû×ÖÕ¦Ñù 2026-03-14 6/300 2026-03-14 18:58 by userper
[¿¼ÑÐ] ¸´ÊÔµ÷¼Á +3 ºôºô£¿~+123456 2026-03-14 3/150 2026-03-14 16:53 by WTUChen
ÐÅÏ¢Ìáʾ
ÇëÌî´¦ÀíÒâ¼û