Znn3bq.jpeg
²é¿´: 1781  |  »Ø¸´: 3

herarysara

ľ³æ (СÓÐÃûÆø)

[ÇóÖú] »¹ÊÇÇóÖú£¬Óþ¶Ïò·Ö²¼º¯ÊýÇóÅäλÊýµÄ·½·¨¡£

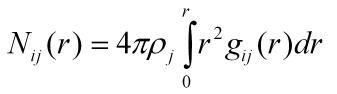
¿´µ½Óɾ¶Ïò·Ö²¼º¯ÊýËãÅäλÊýµÄ»ý·Ö¹«Ê½£ºÎÒÏëÇë½Ì¹«Ê½ÖеÄÃܶÈÊÇʲôÃܶȣ¬µ¥Î»ÊÇʲô£¬»¹ÓоÍÊÇrÓõÄʲôµ¥Î»¡£Èç¹û¹«Ê½²»¶ÔÇë¸÷λ°ïæÐÞÕýÏ¡£

ÅäλÊý»ý·Ö¹«Ê½
»Ø¸´´ËÂ¥

» ÊÕ¼±¾ÌûµÄÌÔÌûר¼­ÍƼö

·Ö×ÓÄ£Äâ

» ²ÂÄãϲ»¶

» ±¾Ö÷ÌâÏà¹Ø¼ÛÖµÌùÍÆ¼ö£¬¶ÔÄúͬÑùÓаïÖú:

ÒÑÔÄ   »Ø¸´´ËÂ¥   ¹Ø×¢TA ¸øTA·¢ÏûÏ¢ ËÍTAºì»¨ TAµÄ»ØÌû

043114076

ľ³æ (ÕýʽдÊÖ)

¡¾´ð°¸¡¿Ó¦Öú»ØÌû

¸Ðл²ÎÓ룬ӦÖúÖ¸Êý +1
jiaoyixiong(½ð±Ò+3): ¹ÄÀø½»Á÷ 2012-02-24 08:25:09
ÃܶÈÊÇÌåÏàµÄÃܶÈ, ¼´×ܵķÖ×ÓÊý³ýÒÔºÐ×ÓµÄÌå»ý, ËùÒÔÕâ¸öÃܶÈÊÇÊýÃܶÈ, ´ú±íµ¥Î»Ìå»ýÄÚº¬ÓеķÖ×ÓÊý.
rµÄµ¥Î»Ö»ÒªÓëÃܶÈÖе¥Î»Ìå»ýµÄÃܶÈÏàͬ¼´¿É, ±ÈÈçÄãʹÓÃÃܶÈΪµ¥Î»Á¢·½ÄÉÃ׵ķÖ×ÓÊý, ÄÇôr¾ÍÓÃnmΪµ¥Î»
2Â¥2012-02-23 21:09:31
ÒÑÔÄ   »Ø¸´´ËÂ¥   ¹Ø×¢TA ¸øTA·¢ÏûÏ¢ ËÍTAºì»¨ TAµÄ»ØÌû

herarysara

ľ³æ (СÓÐÃûÆø)

Ôõôû´óϺÃǰï°ïæ°¡£¬×Ô¼º¶¥Ï±ðûÁË~
3Â¥2012-02-24 09:08:59
ÒÑÔÄ   »Ø¸´´ËÂ¥   ¹Ø×¢TA ¸øTA·¢ÏûÏ¢ ËÍTAºì»¨ TAµÄ»ØÌû

herarysara

ľ³æ (СÓÐÃûÆø)

ÒýÓûØÌû:
Â¥: Originally posted by 043114076 at 2012-02-23 21:09:31:
ÃܶÈÊÇÌåÏàµÄÃܶÈ, ¼´×ܵķÖ×ÓÊý³ýÒÔºÐ×ÓµÄÌå»ý, ËùÒÔÕâ¸öÃܶÈÊÇÊýÃܶÈ, ´ú±íµ¥Î»Ìå»ýÄÚº¬ÓеķÖ×ÓÊý.
rµÄµ¥Î»Ö»ÒªÓëÃܶÈÖе¥Î»Ìå»ýµÄÃܶÈÏàͬ¼´¿É, ±ÈÈçÄãʹÓÃÃܶÈΪµ¥Î»Á¢·½ÄÉÃ׵ķÖ×ÓÊý, ÄÇôr¾ÍÓÃnmΪµ¥Î»

àÅ£¬Ð»Ð»Â¥ÉÏ£¬ÎÒËãËã¿´¿´~
4Â¥2012-02-24 09:10:16
ÒÑÔÄ   »Ø¸´´ËÂ¥   ¹Ø×¢TA ¸øTA·¢ÏûÏ¢ ËÍTAºì»¨ TAµÄ»ØÌû
Ïà¹Ø°æ¿éÌø×ª ÎÒÒª¶©ÔÄÂ¥Ö÷ herarysara µÄÖ÷Ìâ¸üÐÂ
×î¾ßÈËÆøÈÈÌûÍÆ¼ö [²é¿´È«²¿] ×÷Õß »Ø/¿´ ×îºó·¢±í
[¿¼ÑÐ] Ò»Ö¾Ô¸211µç×ÓÐÅÏ¢347Çóµ÷¼Á +3 554916 2026-04-03 4/200 2026-04-09 22:24 by 554916
[¿¼ÑÐ] 301Çóµ÷¼Á +3 XYPLR 2026-04-05 5/250 2026-04-09 20:55 by lbsjt
[¿¼ÑÐ] ²ÄÁÏ»¯¹¤×Ü·Ö334Çóµ÷¼Á +16 Riot2025 2026-04-08 17/850 2026-04-09 20:19 by maddjdld
[¿¼ÑÐ] 070300»¯Ñ§279Çóµ÷¼Á +17 ¹þ¹þ¹þ^_^ 2026-04-08 18/900 2026-04-09 10:49 by ÈýÆßÆßÏëÉϰ¶
[¿¼ÑÐ] һ־Ը³¶«´óѧ071000ÉúÎïѧѧ˶³õÊÔ·ÖÊý276Çóµ÷¼Á +3 Ľ¾øcc 2026-04-09 3/150 2026-04-09 09:57 by liuhuiying09
[¿¼ÑÐ] ÇóÖú071001µ÷¼Á£¡£¡£¡ +7 »ÆÊØËÉ 2026-04-05 8/400 2026-04-09 09:07 by ÐìÁ¼°×ü´óÏÀ
[¿¼ÑÐ] 327Çóµ÷¼Á +10 Xxjc1107. 2026-04-06 11/550 2026-04-09 01:21 by lature00
[¿¼ÑÐ] Èí¼þ¹¤³ÌÇóµ÷¼Á22Èí¹¤296·ÖÇóµ÷¼Á£¬½ÓÊÜ¿çµ÷ +4 yangchen2017 2026-04-08 5/250 2026-04-08 21:56 by ÍÁľ˶ʿÕÐÉú
[¿¼ÑÐ] 298Çóµ÷¼Á +4 manman511 2026-04-05 4/200 2026-04-08 16:50 by tjzhao
[¿¼ÑÐ] Çóµ÷¼Á +9 ÔÂ@163.com 2026-04-07 11/550 2026-04-08 14:48 by qlm5820
[¿¼ÑÐ] 334·Ö¿ØÖƹ¤³ÌÇóµ÷¼Á +4 ½ªÉÐÕæsadasd 2026-04-03 4/200 2026-04-07 09:26 by À¶ÔÆË¼Óê
[¿¼ÑÐ] 081200-11408-276ѧ˶Çóµ÷¼Á +5 ´Þwj 2026-04-05 5/250 2026-04-06 15:40 by lin-da
[¿¼ÑÐ] 0854Çóµ÷¼Á +4 assdll 2026-04-05 4/200 2026-04-06 12:29 by ÖзÉÔº¿Õ¹ÜѧԺÑ
[¿¼ÑÐ] ¿¼Ñе÷¼Á +5 ÃÀÀöµÄyouth_ 2026-04-04 6/300 2026-04-06 06:57 by houyaoxu
[¿¼ÑÐ] 344²ÄÁÏÓ뻯¹¤µ÷¼Á +9 µ÷¼ÁÉϰ¶«^ 2026-04-03 9/450 2026-04-04 23:10 by happyddm
[¿¼ÑÐ] µ÷¼Á +9 19945159693 2026-04-03 10/500 2026-04-04 20:16 by dongzh2009
[¿¼ÑÐ] ²ÄÁÏרҵ383Çóµ÷¼Á +8 ¹ùÑôÑôÑô³É 2026-04-03 8/400 2026-04-04 10:29 by Rednal.
[¿¼ÑÐ] 322Çóµ÷¼Á +4 FZAC123 2026-04-03 4/200 2026-04-03 20:55 by zhq0425
[¿¼ÑÐ] 338Çóµ÷¼Á +4 zzz£¬£¬r 2026-04-03 4/200 2026-04-03 16:39 by lijunpoly
[¿¼ÑÐ] 315Çóµ÷¼Á +6 ˳Àí³ÉÕÅ 2026-04-03 8/400 2026-04-03 14:04 by °ÙÁéͯ888
ÐÅÏ¢Ìáʾ
ÇëÌî´¦ÀíÒâ¼û