| 查看: 438 | 回复: 0 | |
zgchen9金虫 (小有名气)
|
[求助]
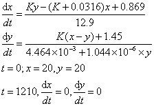
求解一个微分方程组
|
![]() |
|
|
|
|
|
找到一些相关的精华帖子,希望有用哦~
科研从小木虫开始,人人为我,我为人人
|














回复此楼

点击这里搜索更多相关资源
20