| 查看: 4604 | 回复: 1 | |
[求助]
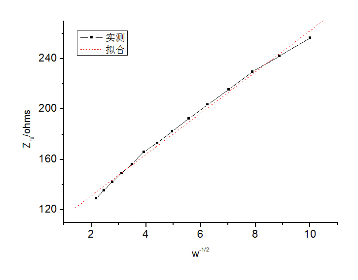
如何从交流阻抗谱中得到Warburg系数?
|
|
![]() |
|
|
|
|
|
2楼2014-10-21 17:48:40
|
|














回复此楼