| 查看: 298 | 回复: 1 | |||
[求助]
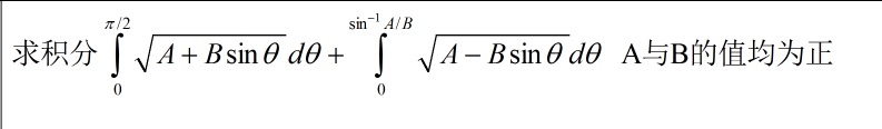
求如何求这个积分
|
|||
![]() |
|||
|
|
|||
| 回帖置顶 ( 共有1个 ) | |||
dbb627荣誉版主 (著名写手)
|
【答案】应助回帖
497544498: 回帖置顶 2011-12-08 21:18:52
497544498(金币+20): 2011-12-08 21:19:06 » 本帖附件资源列表
2011-12-08 20:20:55, 8.63 K
|
||
![]() |
|||
|
2楼2011-12-08 20:20:58
|
|
||













回复此楼
