| ²é¿´: 971 | »Ø¸´: 6 | ||
°Ë½äµÄСµÜÈÙÓþ°æÖ÷ (ÎÄ̳¾«Ó¢)
¶þʦÐÖÍËÐÝÁË
|
[ÇóÖú]
Çó½Ì¸ßÊÖ£¬Õâ¸ö»ý·ÖÔõôËãµÄ£¿
|
|
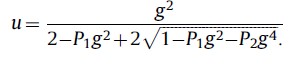
ÆäÖУºp£¨1£©ºÍp£¨2£©Êdz£Êý ½á¹ûÊÇ ÆäÖУº ÔõôºÍÎÒÓÃmapleËãµÄ½á¹û²»Ò»Ñù°¡£¬mapleËãµÄ½á¹ûÊÇ·´Ë«Çк¯ÊýµÄÐÎʽ£¬ÕâÀïÊÇË«ÇúÕýÏÒº¯ÊýÐÎʽ£¬Çó½Ì¸ßÊÖ |
» ±¾Ìû@֪ͨ
» ²ÂÄãϲ»¶
285Çóµ÷¼Á
ÒѾÓÐ5È˻ظ´
ÉúÎïѧÇóµ÷¼Á
ÒѾÓÐ4È˻ظ´
0854Çóµ÷¼Á
ÒѾÓÐ3È˻ظ´
319·Ö085702°²È«¹¤³ÌÇóµ÷¼Á
ÒѾÓÐ4È˻ظ´
ÉúÎïѧ308·ÖÇóµ÷¼Á£¨Ò»Ö¾Ô¸»ª¶«Ê¦´ó£©
ÒѾÓÐ6È˻ظ´
085600²ÄÁÏÓ뻯¹¤301·ÖÇóµ÷¼ÁԺУ
ÒѾÓÐ14È˻ظ´
0703»¯Ñ§µ÷¼Á325·Ö
ÒѾÓÐ12È˻ظ´
ÇóÖú071001µ÷¼Á£¡£¡£¡
ÒѾÓÐ5È˻ظ´
¹¤¿Æ370Çóµ÷¼Á
ÒѾÓÐ3È˻ظ´
²ÄÁÏר˶322
ÒѾÓÐ10È˻ظ´
» ±¾Ö÷ÌâÏà¹Ø¼ÛÖµÌùÍÆ¼ö£¬¶ÔÄúͬÑùÓаïÖú:
Çó¸ßÊÖ¼ÆËãÏ»ý·Ö
ÒѾÓÐ10È˻ظ´
£¨x^2£©.exp(-ax^2)dxÏÂÏÞΪ0£¬ÉÏÏÞΪbÈçºÎ»ý·Ö£¿Çó¸ßÊÖÖ¸µã
ÒѾÓÐ6È˻ظ´
Çë½Ì¸÷λ¸ßÊÖ£¬VASPËãµçºÉÓÐÐòÐèÒªÉèÄÄЩ²ÎÊý°¡£¿
ÒѾÓÐ10È˻ظ´
Ò»¸ö¼òµ¥µÄʽ×Ó£¬È´Ëã²»ÕýÈ·
ÒѾÓÐ10È˻ظ´
Çó¸ßÊֽ̽ÌÔõôÓÃлÀÖ¹«Ê½¼ÆËãPt/C¾§Á£´óС
ÒѾÓÐ5È˻ظ´
¡¾ÇóÖú¡¿Çó½ÌDPD¸ßÊÖÔõÑùÓÃamorphous cell¼ÆËãFlory huggins²ÎÊý
ÒѾÓÐ8È˻ظ´
¡¾ÇóÖú¡¿±ê×¼ÇúÏß¾¿¾¹¸ÃÈçºÎ¼ÆË㣿£¿Íû¸ßÊÖÖ§ÕÐ
ÒѾÓÐ10È˻ظ´
¡¾ÇóÖú¡¿Çë½Ì¸ßÊÖ£ºÔÓÖÊÐγÉÄܼÆËãÎÊÌâ
ÒѾÓÐ10È˻ظ´
¡¾ÇóÖú¡¿ÔÚgaussian¹ý¶É̬ÓÅ»¯¼ÆËã³öÏÖµÄÎÊÌâ~Çë½Ì¸ßÊÖ~
ÒѾÓÐ3È˻ظ´
¡¾ÇóÖú¡¿Çë½Ì¸ßÊÖ¹ØÓÚºË´ÅÆ×Öлý·ÖµÄÒ»¸öÎÊÌâ
ÒѾÓÐ10È˻ظ´
¡¾ÇóÖú¡¿ÀíÂÛÓë¼ÆË㻯ѧÐÂÊÖÇó½Ì
ÒѾÓÐ13È˻ظ´
huazai1zhu
Ìú³æ (³õÈëÎÄ̳)
- Ó¦Öú: 0 (Ó×¶ùÔ°)
- ½ð±Ò: 18.5
- Ìû×Ó: 8
- ÔÚÏß: 3.3Сʱ
- ³æºÅ: 1400724
- ×¢²á: 2011-09-13
- רҵ: Ó¦ÓÃÊýѧ·½·¨
¡ï
СÓêÃÈÃÈ(½ð±Ò+1): 3Q~ 2011-09-15 19:40:19
СÓêÃÈÃÈ(½ð±Ò+1): 3Q~ 2011-09-15 19:40:19
| Õâ¸öºÃÏñ¾ÍÊǼÆËãÆðÀ´¸´ÔÓ£¬´ÓÄѶÈÉϽ²Ã»ÓÐÎÊÌ⣬½á¹û±í´ïÐÎʽ²»Ò»Ñù»á²»»áÊÇÄãµÄ±äÔªÌæ»»¸úÈ˼ҵIJ»Ò»Ñù£¬Ö»ÄÜ´ÓÑÔÓïÉÏÖ§³Ö£¬Ã»×°mapleµÄÆ®¹ý |
2Â¥2011-09-15 16:40:02
°Ë½äµÄСµÜ
ÈÙÓþ°æÖ÷ (ÎÄ̳¾«Ó¢)
¶þʦÐÖÍËÐÝÁË
- Ó¦Öú: 322 (´óѧÉú)
- ¹ó±ö: 6.865
- ½ð±Ò: 2553.3
- É¢½ð: 43112
- ºì»¨: 91
- ɳ·¢: 526
- Ìû×Ó: 15848
- ÔÚÏß: 4840.9Сʱ
- ³æºÅ: 1365533
- ×¢²á: 2011-08-11
- ÐÔ±ð: GG
- רҵ: ÊýѧÎïÀí
- ¹ÜϽ: ²ÄÁϹ¤³Ì
3Â¥2011-09-15 17:29:14
pengyehui
ľ³æ (ÕýʽдÊÖ)
- ÊýѧEPI: 3
- Ó¦Öú: 15 (СѧÉú)
- ¹ó±ö: 0.03
- ½ð±Ò: 4215.2
- ºì»¨: 5
- Ìû×Ó: 510
- ÔÚÏß: 190.6Сʱ
- ³æºÅ: 462928
- ×¢²á: 2007-11-19
- ÐÔ±ð: GG
- רҵ: ¼ÆËãÊýѧÓë¿ÆÑ§¹¤³Ì¼ÆËã
¡ï ¡ï ¡ï ¡ï ¡ï ¡ï ¡ï ¡ï
soliton923(½ð±Ò+8): ´úLZÆÀ·Ö 2011-09-16 10:03:04
soliton923(½ð±Ò+8): ´úLZÆÀ·Ö 2011-09-16 10:03:04
|
1/2 (Log[g^2] - Log[2 - g^2 P1 + 2 Sqrt[1 - g^2 P1 - g^4 P2]]) mathematicaËã³öÀ´µÄ |
4Â¥2011-09-15 20:53:00
°Ë½äµÄСµÜ
ÈÙÓþ°æÖ÷ (ÎÄ̳¾«Ó¢)
¶þʦÐÖÍËÐÝÁË
- Ó¦Öú: 322 (´óѧÉú)
- ¹ó±ö: 6.865
- ½ð±Ò: 2553.3
- É¢½ð: 43112
- ºì»¨: 91
- ɳ·¢: 526
- Ìû×Ó: 15848
- ÔÚÏß: 4840.9Сʱ
- ³æºÅ: 1365533
- ×¢²á: 2011-08-11
- ÐÔ±ð: GG
- רҵ: ÊýѧÎïÀí
- ¹ÜϽ: ²ÄÁϹ¤³Ì
5Â¥2011-09-15 20:55:35
pengyehui
ľ³æ (ÕýʽдÊÖ)
- ÊýѧEPI: 3
- Ó¦Öú: 15 (СѧÉú)
- ¹ó±ö: 0.03
- ½ð±Ò: 4215.2
- ºì»¨: 5
- Ìû×Ó: 510
- ÔÚÏß: 190.6Сʱ
- ³æºÅ: 462928
- ×¢²á: 2007-11-19
- ÐÔ±ð: GG
- רҵ: ¼ÆËãÊýѧÓë¿ÆÑ§¹¤³Ì¼ÆËã
6Â¥2011-09-16 10:28:54
°Ë½äµÄСµÜ
ÈÙÓþ°æÖ÷ (ÎÄ̳¾«Ó¢)
¶þʦÐÖÍËÐÝÁË
- Ó¦Öú: 322 (´óѧÉú)
- ¹ó±ö: 6.865
- ½ð±Ò: 2553.3
- É¢½ð: 43112
- ºì»¨: 91
- ɳ·¢: 526
- Ìû×Ó: 15848
- ÔÚÏß: 4840.9Сʱ
- ³æºÅ: 1365533
- ×¢²á: 2011-08-11
- ÐÔ±ð: GG
- רҵ: ÊýѧÎïÀí
- ¹ÜϽ: ²ÄÁϹ¤³Ì
7Â¥2011-09-16 10:31:14














»Ø¸´´ËÂ¥