±±¾©Ê¯ÓÍ»¯¹¤Ñ§Ôº2026ÄêÑо¿ÉúÕÐÉú½ÓÊÕµ÷¼Á¹«¸æ
²é¿´: 693  |  »Ø¸´: 6

lvyuan1014

ľ³æ (³õÈëÎÄ̳)

[ÇóÖú] ÇóÖú·ÇÏßÐÔ·½³Ì×飬ϣÍû¸ßÊÖ¸øµãÖ¸µã

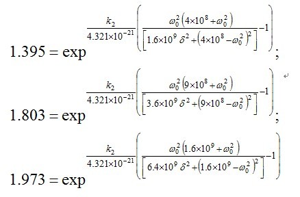
ÓÃmatlabÇó½â´Ë·½³Ì×飬²»Ê¤¸Ð¼¤
»Ø¸´´ËÂ¥

» ²ÂÄãϲ»¶

» ±¾Ö÷ÌâÏà¹Ø¼ÛÖµÌùÍÆ¼ö£¬¶ÔÄúͬÑùÓаïÖú:

ÒÑÔÄ   »Ø¸´´ËÂ¥   ¹Ø×¢TA ¸øTA·¢ÏûÏ¢ ËÍTAºì»¨ TAµÄ»ØÌû
2Â¥2011-11-11 20:57:08
ÒÑÔÄ   »Ø¸´´ËÂ¥   ¹Ø×¢TA ¸øTA·¢ÏûÏ¢ ËÍTAºì»¨ TAµÄ»ØÌû

zl030091126

½ð³æ (ÕýʽдÊÖ)

¡¾´ð°¸¡¿Ó¦Öú»ØÌû

¡ï
dbb627(½ð±Ò+1): ¸Ðл²ÎÓë 2011-11-12 08:27:47
Â¥Ö÷ÊÇ·ñÖªµÀk2 w0ºÍ¦Ä´ó¸ÅµÄÊýֵô£¿Çó½â·ÇÏßÐԵķ½·¨¾ÍÊÇÊԲһ´ÎÒ»´ÎµÄµü´ú¼ÆËã¡£Èç¹û²»ÖªµÀ´ó¸ÅµÄÊýÖµ¾ÍÄÑÒÔÈ·¶¨³õÖµ£¬Ò²¾ÍÄÑÒÔÏÂÊÖ¼ÆËãÁË
A--B,ÐéÏß±ä³ÉʵÏßÔòÊÇÄãµÄ¹ì¼£
3Â¥2011-11-12 06:15:51
ÒÑÔÄ   »Ø¸´´ËÂ¥   ¹Ø×¢TA ¸øTA·¢ÏûÏ¢ ËÍTAºì»¨ TAµÄ»ØÌû

lvyuan1014

ľ³æ (³õÈëÎÄ̳)

ÒýÓûØÌû:
3Â¥: Originally posted by zl030091126 at 2011-11-12 06:15:51:
Â¥Ö÷ÊÇ·ñÖªµÀk2 w0ºÍ¦Ä´ó¸ÅµÄÊýֵô£¿Çó½â·ÇÏßÐԵķ½·¨¾ÍÊÇÊԲһ´ÎÒ»´ÎµÄµü´ú¼ÆËã¡£Èç¹û²»ÖªµÀ´ó¸ÅµÄÊýÖµ¾ÍÄÑÒÔÈ·¶¨³õÖµ£¬Ò²¾ÍÄÑÒÔÏÂÊÖ¼ÆËãÁË

k2ÔÚ0.1-2£¬w0Ϊ10µÄ4´Î·½£¬¦ÄÒ²ÊÇΪ10µÄ4´Î·½£¬Â¥Ö÷¿´¿´ÄܽâÂ𣬷dz£¸Ðл
4Â¥2011-11-12 08:42:01
ÒÑÔÄ   »Ø¸´´ËÂ¥   ¹Ø×¢TA ¸øTA·¢ÏûÏ¢ ËÍTAºì»¨ TAµÄ»ØÌû

zl030091126

½ð³æ (ÕýʽдÊÖ)

¡¾´ð°¸¡¿Ó¦Öú»ØÌû

lvyuan1014(½ð±Ò+50): 2011-11-12 18:08:57
Â¥Ö÷Äã¿´ÏÂÄã¸øµÄ·¶Î§£¬eµÄ¶àÉٴη½
A--B,ÐéÏß±ä³ÉʵÏßÔòÊÇÄãµÄ¹ì¼£
5Â¥2011-11-12 10:18:06
ÒÑÔÄ   »Ø¸´´ËÂ¥   ¹Ø×¢TA ¸øTA·¢ÏûÏ¢ ËÍTAºì»¨ TAµÄ»ØÌû

lvyuan1014

ľ³æ (³õÈëÎÄ̳)

ÒýÓûØÌû:
5Â¥: Originally posted by zl030091126 at 2011-11-12 10:18:06:
Â¥Ö÷Äã¿´ÏÂÄã¸øµÄ·¶Î§£¬eµÄ¶àÉٴη½

ÎÒËã³öÈ¥ÁË£¬»¹ÊÇллÄ㣬½ð±Ò¾Í¸øÄã°É
6Â¥2011-11-12 18:08:37
ÒÑÔÄ   »Ø¸´´ËÂ¥   ¹Ø×¢TA ¸øTA·¢ÏûÏ¢ ËÍTAºì»¨ TAµÄ»ØÌû

zl030091126

½ð³æ (ÕýʽдÊÖ)

¡£¡£¡£¡£¡£¡£
7Â¥2011-11-13 00:27:26
ÒÑÔÄ   »Ø¸´´ËÂ¥   ¹Ø×¢TA ¸øTA·¢ÏûÏ¢ ËÍTAºì»¨ TAµÄ»ØÌû
Ïà¹Ø°æ¿éÌø×ª ÎÒÒª¶©ÔÄÂ¥Ö÷ lvyuan1014 µÄÖ÷Ìâ¸üÐÂ
×î¾ßÈËÆøÈÈÌûÍÆ¼ö [²é¿´È«²¿] ×÷Õß »Ø/¿´ ×îºó·¢±í
[¿¼ÑÐ] 343Çóµ÷¼Á +4 ÔùÎÒÒ»±¾Êé 2026-03-23 4/200 2026-03-27 00:40 by wxiongid
[¿¼ÑÐ] 286Çóµ÷¼Á +3 lim0922 2026-03-26 3/150 2026-03-26 23:07 by ²»³Ôô~µÄ؈
[¿¼ÑÐ] Çóµ÷¼Á +5 «lty 2026-03-25 6/300 2026-03-26 20:49 by ²»³Ôô~µÄ؈
[¿¼ÑÐ] 286Çóµ÷¼Á +13 Faune 2026-03-21 13/650 2026-03-26 19:52 by peike
[¿¼ÑÐ] ²ÄÁÏ¿¼ÑÐÇóµ÷¼Á +3 Dendel 2026-03-23 6/300 2026-03-26 17:51 by fmesaito
[¿¼ÑÐ] 352Çóµ÷¼Á +4 ´óÃ×·¹£¡ 2026-03-22 4/200 2026-03-26 16:40 by ²»³Ôô~µÄ؈
[¿¼ÑÐ] 334·Ö Ò»Ö¾Ô¸ÎäÀí ²ÄÁÏÇóµ÷¼Á +4 ÀîÀî²»·þÊä 2026-03-26 4/200 2026-03-26 16:00 by ²»³Ôô~µÄ؈
[¿¼ÑÐ] »·¾³×¨Ë¶324·ÖÇóµ÷¼ÁÍÆ¼ö +5 ÐùСÄþ¡ª¡ª 2026-03-26 5/250 2026-03-26 12:05 by i_cooler
[¿¼ÑÐ] 0854µç×ÓÐÅÏ¢Çóµ÷¼Á +7 ¦Á____ 2026-03-22 9/450 2026-03-25 13:37 by ¦Á____
[¿¼ÑÐ] 0854È˹¤ÖÇÄÜ·½ÏòÕÐÊÕµ÷¼Á +4 ÕÂСÓã567 2026-03-24 4/200 2026-03-25 13:29 by 2177681040
[¿¼ÑÐ] 359Çóµ÷¼Á +3 ÍõÁ˸öéª 2026-03-25 3/150 2026-03-25 12:50 by Dyhoer
[¿¼ÑÐ] 0854µç×ÓÐÅÏ¢Çóµ÷¼Á 324 +4 Promise-jyl 2026-03-23 4/200 2026-03-25 11:36 by Sugarlight
[¿¼ÑÐ] ²ÄÁÏѧÇóµ÷¼Á +6 Stella_Yao 2026-03-20 6/300 2026-03-25 00:37 by baoball
[¿¼ÑÐ] 306Çó0703µ÷¼ÁÒ»Ö¾Ô¸»ªÖÐʦ·¶ +10 Ö½Óãly 2026-03-21 11/550 2026-03-24 17:22 by qingfeng258
[¿¼ÑÐ] 292Çóµ÷¼Á +4 ¶ì¶ì¶ì¶î¶î¶î¶î¶ 2026-03-24 4/200 2026-03-24 16:41 by peike
[¿¼ÑÐ] 307Çóµ÷¼Á +3 ÓàÒâÇä 2026-03-21 6/300 2026-03-24 15:03 by ÓàÒâÇä
[¿¼ÑÐ] ÇóÀÏʦÊÕÎÒ +3 zzh16938784 2026-03-23 3/150 2026-03-23 12:56 by ztnimte
[¿¼ÑÐ] Çóµ÷¼Á +5 Zhangbod 2026-03-21 7/350 2026-03-22 13:13 by Zhangbod
[¿¼ÑÐ] ²ÄÁÏѧ˶301·ÖÇóµ÷¼Á +7 Liyouyumairs 2026-03-21 7/350 2026-03-21 22:31 by peike
[¿¼ÑÐ] 085601µ÷¼Á 358·Ö +3 zzzzggh 2026-03-20 4/200 2026-03-21 10:21 by luoyongfeng
ÐÅÏ¢Ìáʾ
ÇëÌî´¦ÀíÒâ¼û