| ²é¿´: 1551 | »Ø¸´: 5 | ||
ruthxu½ð³æ (ÕýʽдÊÖ)
|
[ÇóÖú]
ÇóĤµÄµ¯ÐÔÄ£Á¿£¬ÓøµÀïÒ¶±ä»»ÇëÎÊÕâÑù×ö¶ÔÂð£¿
|
xuexijisuan |
» ²ÂÄãϲ»¶
080500Çóµ÷¼Á
ÒѾÓÐ5È˻ظ´
269µç×ÓÐÅÏ¢Çóµ÷¼Á£¬¿Éתרҵ
ÒѾÓÐ5È˻ظ´
285Çóµ÷¼Á
ÒѾÓÐ15È˻ظ´
265Çóµ÷¼Á
ÒѾÓÐ8È˻ظ´
274Çóµ÷¼ÁÇóµ÷¼Á
ÒѾÓÐ5È˻ظ´
284Çóµ÷¼Á
ÒѾÓÐ4È˻ظ´
ÍÁľˮÀûר˶276·ÖÇóµ÷¼Á
ÒѾÓÐ4È˻ظ´
²ÄÁÏ¿¼ÑÐÇóµ÷¼Á×Ü·Ö280
ÒѾÓÐ9È˻ظ´
285Çóµ÷¼Á
ÒѾÓÐ6È˻ظ´
²ÄÁϵ÷¼Á
ÒѾÓÐ9È˻ظ´
» ±¾Ö÷ÌâÏà¹Ø¼ÛÖµÌùÍÆ¼ö£¬¶ÔÄúͬÑùÓаïÖú:
ÇóÖú£º½ðÊôPtµÄµ¯ÐÔÄ£Á¿£¨ÑîÊÏÄ£Á¿£©ºÍ²´ËɱÈÊǶàÉÙ£¿
ÒѾÓÐ5È˻ظ´
·Ç¾§ºÏ½ðµÄµ¯ÐÔÄ£Á¿
ÒѾÓÐ19È˻ظ´
ÈçºÎͨ¹ýŬÊÏÓ²¶È²âÍ¿²ãµ¯ÐÔÄ£Á¿?
ÒѾÓÐ9È˻ظ´
¡¾½»Á÷¡¿²ÄÁϵÄÈ۵㣬µ¯ÐÔÄ£Á¿ºÍÃܶÈÖ®¼äµÄÎïÀí¹ØÁª
ÒѾÓÐ21È˻ظ´
¡¾ÇóÖú¡¿¹ØÓÚÄâºÏµÃµ½Ì嵯ÐÔÄ£Á¿&×ÔÐý¼«»¯&LDA+UµÈÎÊÌ⣬Íû´ó¼ÒÖ¸µãÖ¸µã
ÒѾÓÐ4È˻ظ´
¡¾ÌÖÂÛ¡¿ÄÉÃ×ѹºÛµÄÔØºÉÓëÓ²¶È¡¢µ¯ÐÔÄ£Á¿µÄ¹ØÏµ
ÒѾÓÐ16È˻ظ´
¡¾ÇóÖú¡¿²ÄÁϵĵ¯ÐÔÄ£Á¿
ÒѾÓÐ13È˻ظ´
¡¾ÇóÖú¡¿¸´ºÏ²ÄÁϵĵ¯ÐÔÄ£Á¿
ÒѾÓÐ8È˻ظ´

yahoohoo
Ìú¸Ëľ³æ (ÖøÃûдÊÖ)
- Ä£ÄâEPI: 10
- Ó¦Öú: 0 (Ó×¶ùÔ°)
- ¹ó±ö: 1.55
- ½ð±Ò: 7632.4
- É¢½ð: 251
- ºì»¨: 4
- Ìû×Ó: 1176
- ÔÚÏß: 167Сʱ
- ³æºÅ: 74894
- ×¢²á: 2005-06-15
- ÐÔ±ð: GG
- רҵ: ÀíÂۺͼÆË㻯ѧ
¡¾´ð°¸¡¿Ó¦Öú»ØÌû
¡ï ¡ï ¡ï
ghcacj(½ð±Ò+3): лл 2011-09-07 15:36:16
ruthxu(½ð±Ò+20): 2011-10-20 19:22:13
ruthxu(½ð±Ò+20): 2011-12-19 10:02:48
ghcacj(½ð±Ò+3): лл 2011-09-07 15:36:16
ruthxu(½ð±Ò+20): 2011-10-20 19:22:13
ruthxu(½ð±Ò+20): 2011-12-19 10:02:48
|
µ¯ÐÔÄ£Á¿ÊÇÖ¸bending rigidity(modulus)°É¡£ Äã¿ÉÒÔ°´ÕÕ×Ô¼ºÒýÓõĹ«Ê½¼ÆËãһϣ¬ÔÙÓëʵÑéÖµ»òÕ߯äËû·Ö×ÓÄ£ÄâµÄ½á¹û±È½Ï£¬Èç¹ûÎǺϾÍ˵Ã÷¼ÆËãÊǶԵġ£ Áí£ºµ±Ä¤µÄÃæ»ý½Ï´óʱ£¬Äã¿ÉÒÔ¿¼ÂÇ¿ìËÙ¸µÁ¢Ò¶±ä»»¡£ |
2Â¥2011-09-07 15:23:34
ruthxu
½ð³æ (ÕýʽдÊÖ)
- Ó¦Öú: 2 (Ó×¶ùÔ°)
- ½ð±Ò: 1109.2
- É¢½ð: 62
- ºì»¨: 2
- Ìû×Ó: 319
- ÔÚÏß: 138Сʱ
- ³æºÅ: 1159022
- ×¢²á: 2010-11-30
- ÐÔ±ð: MM
- רҵ: ¸ß·Ö×Ó¿ÆÑ§
|
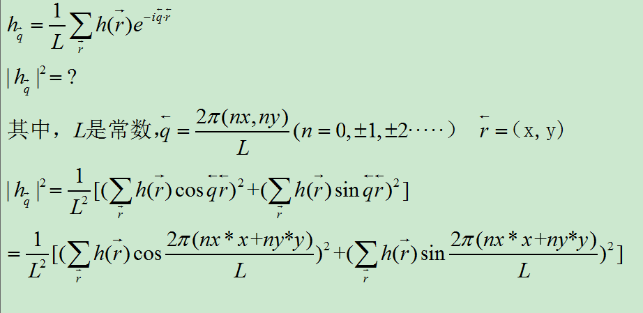
ÎÊÌâ¾ÍÔÚ¸µÀïÒ¶±ä»»ÁË£¬ ÎÒ²»ÖªµÀ×Ô¼º¼ÆËãµÄ¶Ô²»¶Ô£¿ ºÍ±ðÈ˵Ľá¹û¶Ô±È£¬×Ô¼ºµÄ¼ÆËã²»ÔÚºÏÀí·¶Î§ÄÚ¡£ ÎÒÊÇÓ÷Ö×Ó¶¯Á¦Ñ§Ä£Ä⣬ÏÖÔÚÓÐÁ½¸öµØ·½¿ÉÄܳö´í£º 1 ÎÒµÄÄ£Äâ½á¹û²»ÄÜ´ïµ½zero tension 2 ÎÒÒýÓõĹ«Ê½¼ÆËã¹ý³ÌÓÐÎÊÌâ ¿ÉÕâÁ½¸öÎÊÌâÎÒ¶¼²»ÄÜÈ·¶¨¡£gromacs MDÄ£Äâ NPT(semiistropic) nvt Á½¸öϵ×۵õ½µÄ½á¹ûsurface tension ¶¼²»Îª0£» ¶øÒýÓõĹ«Ê½Óõ½¸µÀïÒ¶±ä»»£¬µÚÒ»´ÎÓò»ÖªµÀ×Ô¼º¼ÆËãµÄ¶Ô²»¶Ô£¿ |

3Â¥2011-09-07 21:30:33
yahoohoo
Ìú¸Ëľ³æ (ÖøÃûдÊÖ)
- Ä£ÄâEPI: 10
- Ó¦Öú: 0 (Ó×¶ùÔ°)
- ¹ó±ö: 1.55
- ½ð±Ò: 7632.4
- É¢½ð: 251
- ºì»¨: 4
- Ìû×Ó: 1176
- ÔÚÏß: 167Сʱ
- ³æºÅ: 74894
- ×¢²á: 2005-06-15
- ÐÔ±ð: GG
- רҵ: ÀíÂۺͼÆË㻯ѧ
¡¾´ð°¸¡¿Ó¦Öú»ØÌû
¡ï ¡ï
ghcacj(½ð±Ò+2): лл 2011-09-08 14:36:56
ghcacj(½ð±Ò+2): лл 2011-09-08 14:36:56
|
½¨ÒéÄãÏÈ¿¼ÂÇNVTϵ×Û¡£ Ϊʲô²»ÄÜ´ïµ½tensionless״̬£¿ÔÚÁíÒ»¸öÌû×ӵĻظ´ÖÐÎÒ²»ÊÇÒѾ½¨ÒéÄã¸Ä±äProjected Area Per LipidÒÔ»ñµÃtensionless bilayerÂ𣿠ÄãÊÇÔõôÓÉmidplane height fieldµÄ¸µÁ¢Ò¶±ä»»¼ÆËãbending rigidityµÄÄØ£¿ |
4Â¥2011-09-08 00:09:24
ruthxu
½ð³æ (ÕýʽдÊÖ)
- Ó¦Öú: 2 (Ó×¶ùÔ°)
- ½ð±Ò: 1109.2
- É¢½ð: 62
- ºì»¨: 2
- Ìû×Ó: 319
- ÔÚÏß: 138Сʱ
- ³æºÅ: 1159022
- ×¢²á: 2010-11-30
- ÐÔ±ð: MM
- רҵ: ¸ß·Ö×Ó¿ÆÑ§

5Â¥2011-10-20 19:12:24
ruthxu
½ð³æ (ÕýʽдÊÖ)
- Ó¦Öú: 2 (Ó×¶ùÔ°)
- ½ð±Ò: 1109.2
- É¢½ð: 62
- ºì»¨: 2
- Ìû×Ó: 319
- ÔÚÏß: 138Сʱ
- ³æºÅ: 1159022
- ×¢²á: 2010-11-30
- ÐÔ±ð: MM
- רҵ: ¸ß·Ö×Ó¿ÆÑ§

6Â¥2011-10-20 19:16:40














»Ø¸´´ËÂ¥