| 查看: 257 | 回复: 0 | ||
happy111839铜虫 (正式写手)
|
[求助]
关于中间体的问题
|
|
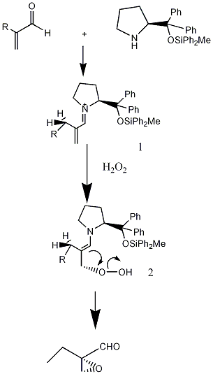
我想做一个双氧水对双键的加成反应的理论计算,请问计算时双氧水以什么形式存在(反应是在己烷中进行的) [ Last edited by happy111839 on 2011-9-7 at 11:13 ] |
» 猜你喜欢
国家级人才课题组招收2026年入学博士
已经有6人回复
意大利米兰理工大学急聘CSC公派留学博士生(物理或无机材料科学方向)
已经有47人回复
物理化学论文润色/翻译怎么收费?
已经有287人回复
求加氢处理工艺与工程(第二版)pdf 李大东 中国石化出版社 9787511436689
已经有0人回复
新加坡ASTAR招收CSC或学校资助联培博士生/访问学生
已经有2人回复
求助Amsterdam Density Functional
已经有3人回复
武汉纺织大学全国重点实验室陈嵘教授团队招收2026级学术/专业型硕士研究生
已经有0人回复
国家级人才课题组招收2026年入学博士
已经有1人回复
找到一些相关的精华帖子,希望有用哦~
关于heck反应的疑问 请教各位
已经有10人回复
请教微波消解药物中间体的问题
已经有8人回复
请教中间体寻找优化问题
已经有14人回复
关于波生坦中间体的合成,请大家帮忙看看吧
已经有14人回复
请教关于聚氨酯预聚物合成问题(BB求解答)
已经有12人回复
哌啶酮中间体纯化问题
已经有7人回复
关于油状物结晶问题
已经有8人回复
关于DNA marker 的一些问题
已经有5人回复
【讨论】关于中间体的检测方法需要先做方法学验证吗
已经有12人回复
【求助】关于离子液体[Bmim]OAc合成的问题,希望大虾指点哈O(∩_∩)O
已经有19人回复
【求助】样品检测中间体含量问题?请教大家!
已经有3人回复
【讨论】关于原料药合成的问题
已经有13人回复
科研从小木虫开始,人人为我,我为人人













回复此楼
点击这里搜索更多相关资源