| 查看: 2143 | 回复: 7 | ||
[求助]
氟氧化物玻璃DSC曲线在较高升温速率下出现重叠峰
|
|
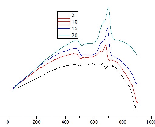
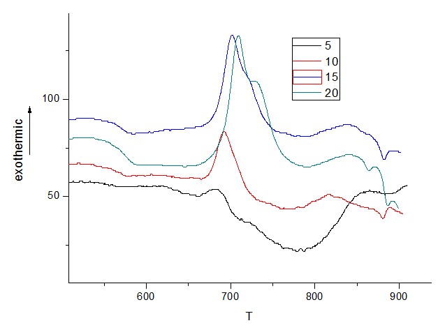
下图是我做的氟氧化物玻璃DSC曲线,当升温速率逐渐升高的时候,原来的峰出现“重叠”现象,这是什么原因造成的?是这里本来就有重叠的峰,只不过在较低升温速率下不显现;还是只有一个峰,但是在较高升温速率下由于什么原因,又出现了一个峰?非常困扰,请大家一定要帮忙 |
» 猜你喜欢
346求调剂[0856]
已经有7人回复
一志愿山大07化学 332分 四六级已过 本科山东双非 求调剂!
已经有3人回复
310求调剂
已经有3人回复
机械专硕299求调剂至材料
已经有4人回复
070300化学319求调剂
已经有7人回复
08工科 320总分 求调剂
已经有6人回复
一志愿天津大学化学工艺专业(081702)315分求调剂
已经有12人回复
307求调剂
已经有3人回复
265求调剂
已经有3人回复
301求调剂
已经有10人回复
» 本主题相关价值贴推荐,对您同样有帮助:
预养护升温速率是否影响混凝土强度
已经有4人回复
PLA等温结晶曲线处理求助
已经有33人回复
高温单道次压缩试验后,得到应力应变曲线和真应力应变曲线。
已经有5人回复
不同升温速度下的DSC曲线,求高人指教
已经有11人回复
请教关于电炉 升温速率的问题
已经有11人回复
大家烧陶瓷时,预烧脱胶的升温速率是多少?交流一下
已经有27人回复
用DSC如何测试环氧树脂的等温曲线
已经有17人回复
【求助】大孔吸附树脂吸附过程的等温曲线作用
已经有3人回复
【求助】等温条件下速率常数与频率因子的关系是相等的吗?
已经有7人回复
【求助】升温速率会对煤灰物相产生影响吗?
已经有24人回复
【讨论】DSC升降温速率与Tm, Tc 以及晶体结构的关系
已经有13人回复
管式炉温控问题,怎样控制升温速率
已经有12人回复
【求助】测量各向异性薄膜的等温剩磁曲线IRM是沿那个轴测
已经有4人回复
【求助】高温熔盐体系得到的循环伏安曲线分析
已经有8人回复
【求助】为什么锰的氧化物被广泛用于低温SCR脱硝反应催化剂
已经有5人回复
zhangquan8385
荣誉版主 (文坛精英)
- IN-EPI: 2
- 应助: 264 (大学生)
- 贵宾: 3.26
- 金币: 35981.1
- 散金: 2224
- 红花: 73
- 沙发: 30
- 帖子: 12486
- 在线: 3164.8小时
- 虫号: 555285
- 注册: 2008-05-08
- 性别: GG
- 专业: 结构陶瓷
- 管辖: 无机非金属
2楼2011-07-16 16:59:47
yanganping
木虫 (小有名气)
- 应助: 1 (幼儿园)
- 金币: 2622.5
- 散金: 897
- 红花: 5
- 帖子: 248
- 在线: 273.2小时
- 虫号: 635599
- 注册: 2008-10-24
- 性别: GG
- 专业: 玻璃材料
3楼2011-07-16 20:21:33
4楼2011-07-17 14:48:47
zhangquan8385
荣誉版主 (文坛精英)
- IN-EPI: 2
- 应助: 264 (大学生)
- 贵宾: 3.26
- 金币: 35981.1
- 散金: 2224
- 红花: 73
- 沙发: 30
- 帖子: 12486
- 在线: 3164.8小时
- 虫号: 555285
- 注册: 2008-05-08
- 性别: GG
- 专业: 结构陶瓷
- 管辖: 无机非金属
5楼2011-07-17 15:07:51
6楼2011-07-17 16:00:33
zhangquan8385
荣誉版主 (文坛精英)
- IN-EPI: 2
- 应助: 264 (大学生)
- 贵宾: 3.26
- 金币: 35981.1
- 散金: 2224
- 红花: 73
- 沙发: 30
- 帖子: 12486
- 在线: 3164.8小时
- 虫号: 555285
- 注册: 2008-05-08
- 性别: GG
- 专业: 结构陶瓷
- 管辖: 无机非金属
7楼2011-07-17 16:18:22
yanganping
木虫 (小有名气)
- 应助: 1 (幼儿园)
- 金币: 2622.5
- 散金: 897
- 红花: 5
- 帖子: 248
- 在线: 273.2小时
- 虫号: 635599
- 注册: 2008-10-24
- 性别: GG
- 专业: 玻璃材料
8楼2011-07-17 20:39:14













回复此楼
10