| 查看: 3806 | 回复: 1 | |||
[求助]
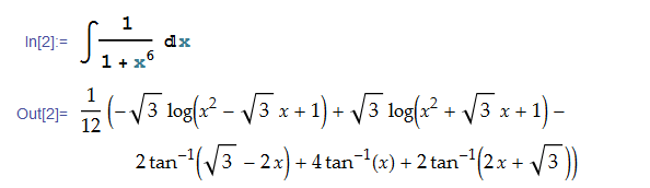
求一积分函数∫1/(1+x^6)dx
|
|
∫1/(1+x^6)dx 从X1积到X2 求帮助 |
» 猜你喜欢
071000生物学求调剂,初试成绩343
已经有7人回复
0703化学调剂,求导师收
已经有8人回复
0856材料化工调剂 总分330
已经有11人回复
本科新能源科学与工程,一志愿华理能动285求调剂
已经有9人回复
332求调剂
已经有4人回复
085600,专业课化工原理,321分求调剂
已经有3人回复
材料工程294求调剂
已经有3人回复
295材料工程专硕求调剂
已经有7人回复
305求调剂
已经有5人回复
食品工程专硕一志愿中海洋309求调剂
已经有8人回复
» 本主题相关价值贴推荐,对您同样有帮助:
三角函数的非整数次幂积分 f(x)'=(sinx)^(1/2)
已经有8人回复
请教形函数的导数在任意四边形的积分,谢谢
已经有6人回复
请问一个有理函数的曲线拟合过程如何做,给出数据,请求拟合,
已经有14人回复
求助三元函数二阶偏微分C语言写法
已经有10人回复
求 硅纳米团簇 的功函数
已经有5人回复
【课后习题】复变函数及积分变换(西安交大,第四版)
已经有39人回复
【求助】delta函数平方后积分
已经有5人回复
【求助】求积分程序中被积函数问题
已经有15人回复
【求助】只知道有限个函数值求积分
已经有10人回复
【求助】复变函数中的分部积分公式是否成立
已经有8人回复
【求助】请教一个隐函数的求导问题
已经有10人回复
【分享】《复变函数与积分变换-西北工业大学》
已经有5人回复
racoon01
专家顾问 (著名写手)
-

专家经验: +213 - 数学EPI: 3
- 应助: 212 (大学生)
- 金币: 24355.2
- 散金: 27
- 红花: 71
- 帖子: 2438
- 在线: 643.2小时
- 虫号: 1282452
- 注册: 2011-05-01
- 专业: 中国近代史、现代史
- 管辖: 物理

2楼2011-07-12 16:50:35














回复此楼