| 查看: 2391 | 回复: 12 | ||
chinababy木虫 (正式写手)
|
[求助]
H2-TPR出现溢氢峰,如何解释?
|
|
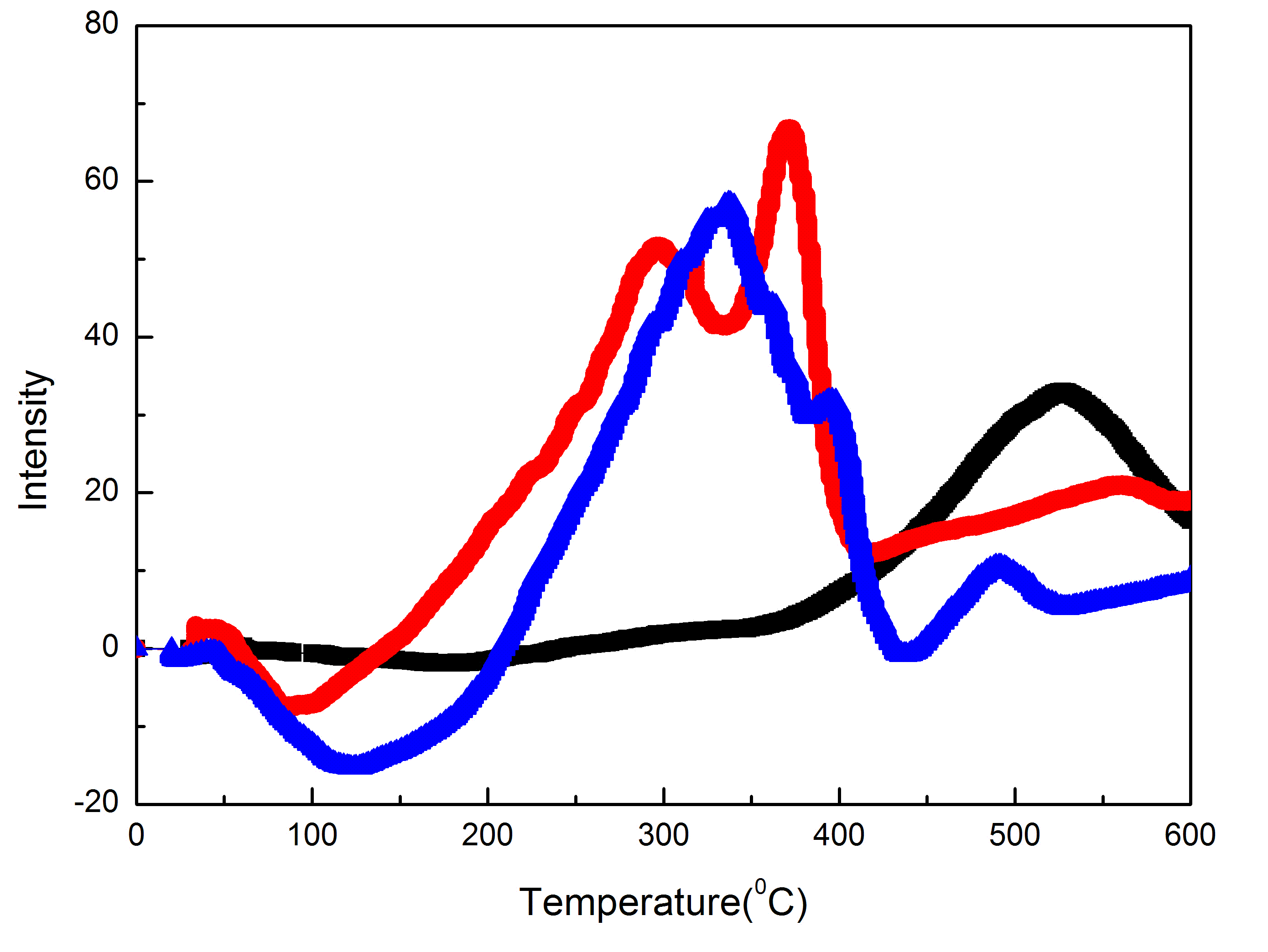
如下图,催化剂在H2-TRP表征的时候100度左右出现了负峰(溢氢峰),在300度左右出现正常的峰。蓝色和红色是一系列样品,黑色是另一类样品。 确定基线走平稳了,确定不是操作的问题,那么就应该是催化剂的问题了。 这个溢氢峰,催化的前辈们有谁遇到过吗?欢迎大家讨论,给出宝贵意见,谢谢啦 |
» 猜你喜欢
湖南大学招收锂离子电池、离子液体、高分子与凝胶材料、电催化方向博士生多名
已经有7人回复
双一流大学湘潭大学“化工过程模拟与强化”国家地方联合工程研究中心招收各类博士生
已经有15人回复
专业论文润色/翻译怎么收费?
已经有132人回复
双一流大学湘潭大学“化工过程模拟与强化”国家地方联合工程研究中心招收各类博士生
已经有10人回复
双一流大学湘潭大学“化工过程模拟与强化”国家地方联合工程研究中心招收各类博士生
已经有21人回复
南京大学蔡亮课题组诚招2026年申请-考核制博士生2-3名(电解水制氢,XAFS谱学等)
已经有32人回复
求助各位大佬配位化学学习教材!!!
已经有0人回复
大连海事大学国家级人才团队2026年博士研究生招生启事
已经有10人回复
内蒙古大学青年长江学者王蕾教授课题组2026年博士招聘,2-3人
已经有11人回复
双一流大学湘潭大学“化工过程模拟与强化”国家地方联合工程研究中心招收各类博士生
已经有21人回复
多相催化-2026年CSC博士及洪堡合作博士后招生!
已经有0人回复
» 本主题相关价值贴推荐,对您同样有帮助:
麦克2090 化学吸附 H2-TPR TCD图谱特殊峰的问题 急!
已经有5人回复
【求助】H2-TPR的问题
已经有9人回复
CeO2 H2-TPR问题
已经有14人回复
H2-TPR可以将可还原物种全部还原么?
已经有6人回复
H2-TPR峰上升阶段和下降阶段的意义?
已经有12人回复
H2-TPR所用的冷肼中材料
已经有18人回复
【求助】H2-TPR-MS 检测不到氢信号变化
已经有11人回复
【求助】H2-TPR还原峰的尖锐与宽泛宽泛可以说明什么问题
已经有6人回复
【求助】H2-TPR图像的解释问题
已经有7人回复
chinababy
木虫 (正式写手)
- 应助: 1 (幼儿园)
- 金币: 3653.4
- 散金: 111
- 红花: 6
- 帖子: 663
- 在线: 345.4小时
- 虫号: 431643
- 注册: 2007-08-11
- 性别: MM
- 专业: 无机非金属基复合材料
2楼2011-06-24 18:13:21
3楼2011-06-24 18:49:32
chinababy
木虫 (正式写手)
- 应助: 1 (幼儿园)
- 金币: 3653.4
- 散金: 111
- 红花: 6
- 帖子: 663
- 在线: 345.4小时
- 虫号: 431643
- 注册: 2007-08-11
- 性别: MM
- 专业: 无机非金属基复合材料
4楼2011-06-24 18:56:02
margosa
木虫 (正式写手)
催化工作者
- 应助: 0 (幼儿园)
- 贵宾: 0.05
- 金币: 2901.8
- 帖子: 568
- 在线: 117.3小时
- 虫号: 277311
- 注册: 2006-09-09
- 性别: GG
- 专业: 能源化工

5楼2011-06-24 22:01:24
chinababy
木虫 (正式写手)
- 应助: 1 (幼儿园)
- 金币: 3653.4
- 散金: 111
- 红花: 6
- 帖子: 663
- 在线: 345.4小时
- 虫号: 431643
- 注册: 2007-08-11
- 性别: MM
- 专业: 无机非金属基复合材料
6楼2011-06-24 22:29:50
7楼2011-06-24 22:48:53
margosa
木虫 (正式写手)
催化工作者
- 应助: 0 (幼儿园)
- 贵宾: 0.05
- 金币: 2901.8
- 帖子: 568
- 在线: 117.3小时
- 虫号: 277311
- 注册: 2006-09-09
- 性别: GG
- 专业: 能源化工

8楼2011-06-24 23:18:24
9楼2011-06-24 23:29:45

10楼2011-06-25 09:45:55














回复此楼