| 查看: 796 | 回复: 4 | ||
[求助]
求助~PLLA/PEA共混物的DSC图像问题
|
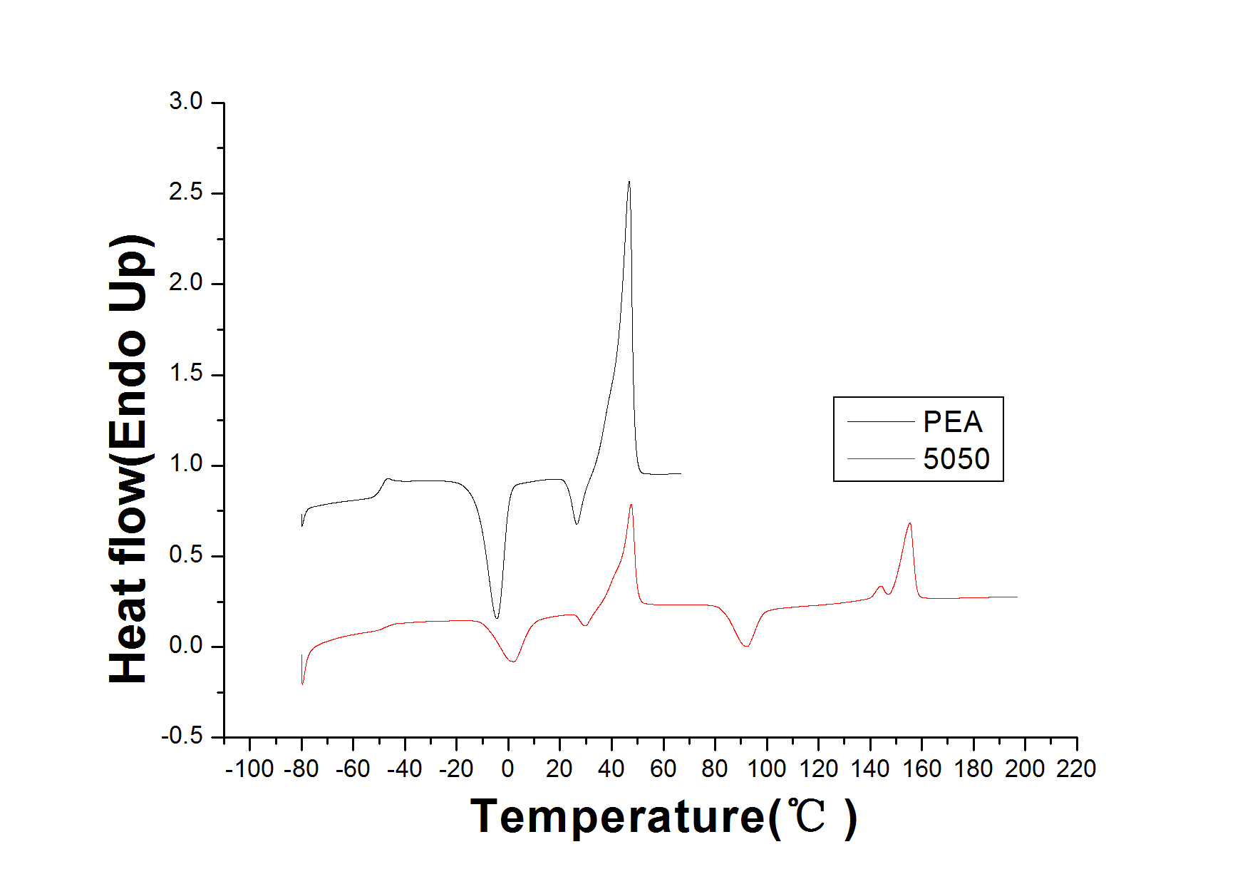
| PLLA的Tg为55℃左右,PEA的Tg为-48℃左右,二者共混之后,测了一下DSC想看看二者的相容性,可是不管是什么组分,图像上只能看到-48℃左右(相差不超过2℃)的一个Tg,另外的PLLA的Tg观察不到。若假定完全相容的话,用FOX公式算出的Tg为-6℃左右。很奇怪,求助求助啊~~~~ |
» 猜你喜欢
312求调剂
已经有5人回复
0703调剂,一志愿天津大学319分
已经有9人回复
085600材料与化工301分求调剂院校
已经有10人回复
专硕0854初试考材科基,求调剂
已经有3人回复
求调剂
已经有8人回复
085600,320分求调剂
已经有17人回复
297分083200求助
已经有3人回复
求调剂
已经有7人回复
一志愿北交大材料工程总分358求调剂
已经有5人回复
一志愿南京航空航天大学 材料与化工329分求调剂
已经有7人回复
» 本主题相关价值贴推荐,对您同样有帮助:
水合肼和钯碳还原硝基苯遇到的问题
已经有37人回复
求助一个关于酿酒酵母转化的问题
已经有19人回复
新手求助:恒温水浴锅中的水为什么要是蒸馏水?
已经有4人回复
结晶性热塑性聚合物做DSC的一个现象问题。
已经有17人回复
【求助】共轭聚合物的DSC问题
已经有23人回复
【求助】在不同单位利用DSC测试同一块玻璃钢的Tg,出现问题了??
已经有6人回复
【求助】DSC与XRD测量HDPE结晶度的问题
已经有11人回复
【求助】请教DSC 测定熔点遇到的问题
已经有12人回复
【求助】用DSC测试环氧树脂恒温条件下固化度的问题
已经有5人回复
【求助】求解DSC图像
已经有13人回复
【求助】DSC谱图分析,确定聚合物
已经有24人回复
【求助】 DSC 曲线问题
已经有25人回复

qq5391297
铁杆木虫 (著名写手)
明明
- PEPI: 2
- 应助: 11 (小学生)
- 金币: 8196.9
- 红花: 5
- 帖子: 1321
- 在线: 141.6小时
- 虫号: 933730
- 注册: 2009-12-26
- 性别: GG
- 专业: 高分子科学
2楼2011-04-25 20:28:46

3楼2011-04-25 21:55:49
touchhappy
金虫 (著名写手)
- PEPI: 30
- 应助: 49 (小学生)
- 金币: 1367.9
- 散金: 605
- 红花: 95
- 帖子: 1650
- 在线: 520.5小时
- 虫号: 924145
- 注册: 2009-12-09
- 性别: MM
- 专业: 高分子物理与高分子物理化

4楼2011-04-25 22:07:46
qq5391297
铁杆木虫 (著名写手)
明明
- PEPI: 2
- 应助: 11 (小学生)
- 金币: 8196.9
- 红花: 5
- 帖子: 1321
- 在线: 141.6小时
- 虫号: 933730
- 注册: 2009-12-26
- 性别: GG
- 专业: 高分子科学
5楼2011-04-25 22:17:44














回复此楼