| 查看: 18367 | 回复: 31 | ||||||||
| 本帖产生 1 个 MolEPI ,点击这里进行查看 | ||||||||
dongfangzz银虫 (小有名气)
|
[求助]
荧光定量PCR(相对定量)的分析结果2-△△Ct怎么看呀?
|
|||||||
|
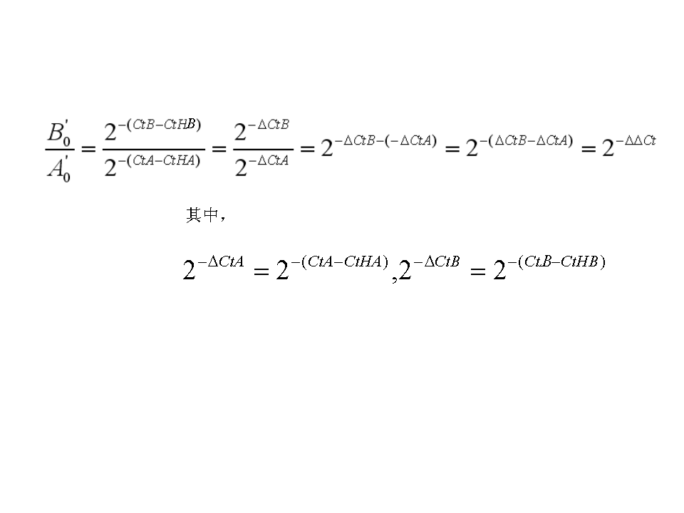
荧光定量PCR(相对定量)的分析结果2-△△Ct怎么看呀? 组别 2-△△Ct(目的基因) 对照组 1 实验组1 1.505 实验组2 0.246 以上结果怎么判断呢?能认为实验组1的表达比对照组高,实验组2 的表达比对照组低吗? |
» 收录本帖的淘帖专辑推荐
分子生化实验经验积累 | 响应面优化 | PCR问题集锦 | 健康小知识 |
有意思的topic | qPCR |
» 本帖已获得的红花(最新10朵)
» 猜你喜欢
筑牢营养安全线:以精准检测,护健康基石
已经有0人回复
推荐一些20种氨基酸检测的实际应用案例
已经有0人回复
化学工程及工业化学论文润色/翻译怎么收费?
已经有267人回复
不合理蛙科研实验中的趣事:实验器材的 “乌龙”
已经有0人回复
不合理蛙科研实验中的趣事:和实验材料的 “斗智斗勇”
已经有0人回复
蛋白质检测:精准分析,解锁生物分子的密码
已经有0人回复
不合理蛙科研实验之小鼠实验:严谨设计,解析生命机制的重要载体
已经有0人回复
不合理蛙科研实验之重金属检测:精准筛查,守护健康与环境的防线
已经有0人回复
不合理蛙科研实验之“蛙测重金属我背锅三千”
已经有0人回复
不合理蛙科研实验之“鼠逃三次我发三篇SCI”
已经有0人回复
» 本主题相关价值贴推荐,对您同样有帮助:
荧光定量PCR cDNA怎么定量啊?
已经有12人回复
【求助/交流】荧光定量PCR的结果(CT值)怎么分析?
已经有14人回复
【求助/交流】荧光定量pcr求助
已经有11人回复
【求助/交流】关于做荧光定量pcr的模板问题
已经有12人回复
【求助/交流】实时荧光定量pcr的问题
已经有7人回复
【分享】荧光定量PCR实验指南(一)
已经有20人回复
西瓜
荣誉版主 (知名作家)
- MolEPI: 50
- 应助: 94 (初中生)
- 贵宾: 3.157
- 金币: 1849.6
- 散金: 11458
- 红花: 116
- 沙发: 21
- 帖子: 7553
- 在线: 1449.5小时
- 虫号: 271749
- 注册: 2006-08-13
- 性别: GG
- 专业: 细胞衰老
- 管辖: 分子生物
3楼2011-04-22 15:55:49
西瓜
荣誉版主 (知名作家)
- MolEPI: 50
- 应助: 94 (初中生)
- 贵宾: 3.157
- 金币: 1849.6
- 散金: 11458
- 红花: 116
- 沙发: 21
- 帖子: 7553
- 在线: 1449.5小时
- 虫号: 271749
- 注册: 2006-08-13
- 性别: GG
- 专业: 细胞衰老
- 管辖: 分子生物
9楼2011-04-22 16:35:40
elvias
铁杆木虫 (正式写手)
- MolEPI: 18
- 应助: 4 (幼儿园)
- 贵宾: 0.005
- 金币: 5850.5
- 红花: 7
- 帖子: 389
- 在线: 91.5小时
- 虫号: 302177
- 注册: 2006-12-02
- 性别: GG
- 专业: 肿瘤免疫
2楼2011-04-22 15:30:48
dongfangzz
银虫 (小有名气)
- 应助: 0 (幼儿园)
- 金币: 531.6
- 散金: 16
- 红花: 5
- 帖子: 206
- 在线: 83.4小时
- 虫号: 890108
- 注册: 2009-11-01
- 性别: GG
- 专业: 医学
4楼2011-04-22 16:03:58
dongfangzz
银虫 (小有名气)
- 应助: 0 (幼儿园)
- 金币: 531.6
- 散金: 16
- 红花: 5
- 帖子: 206
- 在线: 83.4小时
- 虫号: 890108
- 注册: 2009-11-01
- 性别: GG
- 专业: 医学
5楼2011-04-22 16:11:35
西瓜
荣誉版主 (知名作家)
- MolEPI: 50
- 应助: 94 (初中生)
- 贵宾: 3.157
- 金币: 1849.6
- 散金: 11458
- 红花: 116
- 沙发: 21
- 帖子: 7553
- 在线: 1449.5小时
- 虫号: 271749
- 注册: 2006-08-13
- 性别: GG
- 专业: 细胞衰老
- 管辖: 分子生物
6楼2011-04-22 16:15:12
dongfangzz
银虫 (小有名气)
- 应助: 0 (幼儿园)
- 金币: 531.6
- 散金: 16
- 红花: 5
- 帖子: 206
- 在线: 83.4小时
- 虫号: 890108
- 注册: 2009-11-01
- 性别: GG
- 专业: 医学
7楼2011-04-22 16:20:02
西瓜
荣誉版主 (知名作家)
- MolEPI: 50
- 应助: 94 (初中生)
- 贵宾: 3.157
- 金币: 1849.6
- 散金: 11458
- 红花: 116
- 沙发: 21
- 帖子: 7553
- 在线: 1449.5小时
- 虫号: 271749
- 注册: 2006-08-13
- 性别: GG
- 专业: 细胞衰老
- 管辖: 分子生物
8楼2011-04-22 16:25:47
dongfangzz
银虫 (小有名气)
- 应助: 0 (幼儿园)
- 金币: 531.6
- 散金: 16
- 红花: 5
- 帖子: 206
- 在线: 83.4小时
- 虫号: 890108
- 注册: 2009-11-01
- 性别: GG
- 专业: 医学
10楼2011-04-22 16:35:56













回复此楼
妙赞爆米花