版块导航
正在加载中...
客户端APP下载
论文辅导
申博辅导
登录
注册
帖子
帖子
用户
本版
应《网络安全法》要求,自2017年10月1日起,未进行实名认证将不得使用互联网跟帖服务。为保障您的帐号能够正常使用,请尽快对帐号进行手机号验证,感谢您的理解与支持!
24小时热门版块排行榜
>
论坛更新日志
(3923)
>
虫友互识
(546)
>
文献求助
(445)
>
导师招生
(321)
>
休闲灌水
(251)
>
考博
(166)
>
博后之家
(155)
>
招聘信息布告栏
(81)
>
论文投稿
(80)
>
硕博家园
(79)
>
论文道贺祈福
(38)
>
考研
(32)
>
外文书籍求助
(30)
>
有机交流
(27)
>
绿色求助(高悬赏)
(26)
>
SciFinder/Reaxys
(24)
小木虫论坛-学术科研互动平台
»
专业学科区
»
数学
»
考博考研
»
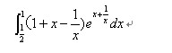
【求助】求助一道定积分题,谢谢
9
1/1
返回列表
查看: 688 | 回复: 8
只看楼主
@他人
存档
新回复提醒
(忽略)
收藏
在APP中查看
happywtt
木虫
(正式写手)
应助: 0
(幼儿园)
金币: 1396.1
帖子: 443
在线: 18.3小时
虫号: 740294
[交流]
【求助】求助一道定积分题,谢谢
求助一道定积分题,谢谢。要的是解析解
[
Last edited by happywtt on 2011-4-15 at 12:30
]
回复此楼
» 猜你喜欢
有没有人能给点建议
已经有5人回复
假如你的研究生提出不合理要求
已经有12人回复
实验室接单子
已经有7人回复
全日制(定向)博士
已经有5人回复
萌生出自己或许不适合搞科研的想法,现在跑or等等看?
已经有4人回复
Materials Today Chemistry审稿周期
已经有4人回复
参与限项
已经有3人回复
对氯苯硼酸纯化
已经有3人回复
所感
已经有4人回复
要不要辞职读博?
已经有7人回复
高级回复
» 本主题相关价值贴推荐,对您同样有帮助:
大学物理,静电学中的定积分问题!求高人指点!
已经有11人回复
【求助】求助两道定积分
已经有14人回复
【求助】帮忙计算个高数的定积分
已经有7人回复
【求助】数学不定积分求助
已经有6人回复
【求助】一道不定积分..
已经有7人回复
【求助】如何解一个含定积分的方程组
已经有9人回复
【求助】求教定积分问题
已经有13人回复
【求助】高等数学定积分【已完结】
已经有7人回复
【求助】帮忙看1个定积分
已经有3人回复
【求助】请教1个定积分,如何计算,重金酬谢!!!
已经有19人回复
【求助】求解一不定积分【已搜无重复】
已经有15人回复
【求助】求解定积分
已经有12人回复
【求助】请教Matlab高手求定积分近似值问题
已经有4人回复
【求助】请教Maple高手画图问题,定积分作图
已经有6人回复
【求助】一个定积分问题
已经有14人回复
» 抢金币啦!回帖就可以得到:
查看全部散金贴
限广州,征女友
+
2
/186
上海科技大学物质科学与技术学院|王平鸾课题组长期招聘(博后/博硕/科研助理)
+
1
/172
双一流南京医科大学招计算机、AI、统计、生物信息等方向26年9月入学博士
+
1
/83
供应EXAKT德国艾卡特3D打印材料分散用三辊研磨机80E PLUS
+
1
/81
北京航空航天大学教授课题组招生启事
+
1
/80
上海科技大学物质科学与技术学院|王平鸾课题组长期招聘(博后/博硕/科研助理)
+
1
/72
香港理工大学招收电力系统优化及运筹学博士后
+
1
/61
昆士兰科技大学(QUT)博士招生信息 导师:李志勇教授
+
1
/35
江西理工大学 稀土学院(发光材料与器件研究所) 招收2026届 材料类博士研究生 2名
+
2
/32
上海科技大学物质科学与技术学院|王平鸾课题组联合招聘博士后
+
1
/28
骨生物材料与侗药调控类器官再生湖南省普通高等学校重点实验室主任团队招聘了
+
5
/20
香港科技大学 招生 2026 Fall全奖博士 -- 机械/电子/材料/化学
+
1
/14
深圳市中西医结合医院博士后招聘【药理学/中药学/天然药物/生物技术】
+
1
/9
[请教]审稿意见回复
+
1
/7
中国科学院大学-杨晗课题组-诚聘-博士后、副研究员
+
1
/4
武汉双一流高校干细胞与肿瘤生物学团队招聘2026级申请考核制博士生
+
1
/4
香港中文大学(深圳)管君课题组 微纳光学方向 招收硕士、博士、博士后
+
1
/4
南京林业大学化学工程学院陈振课题组招收2026年申请考核制博士1-2名
+
1
/4
重庆医科大学-药学院-新靶标教育部医药基础研究创新中心-药物化学2026年博士招生
+
1
/3
天津理工大学0854、控制、信息与通信工程调剂交流
+
1
/2
1楼
2011-04-13 21:28:06
已阅
回复此楼
关注TA
给TA发消息
送TA红花
TA的回帖
soliton923
铁杆木虫
(职业作家)
数学EPI: 1
应助: 36
(小学生)
贵宾: 0.565
金币: 4146.4
帖子: 3489
在线: 1501.2小时
虫号: 1005450
★ ★
小木虫(金币
+0.5
):给个红包,谢谢回帖交流
math105(金币+1): 谢谢参与。 2011-04-14 17:10:19
happywtt(金币+1): 2011-04-26 23:35:00
happywtt(金币+1): 要解析解 2011-04-26 23:35:54
计算机算出来的结果
赞
一下
(2人)
回复此楼
2楼
2011-04-13 22:04:44
已阅
回复此楼
关注TA
给TA发消息
送TA红花
TA的回帖
shuli007
金虫
(小有名气)
数学EPI: 1
应助: 0
(幼儿园)
金币: 1228
帖子: 138
在线: 46.2小时
虫号: 1151125
★
happywtt(金币+1): 麻烦给出解题思路或过程,另有金币奖励,谢谢! 2011-04-14 13:42:13
math105(金币+1): 谢谢参与讨论。 2011-04-14 17:10:47
happywtt(金币+1): 怎么算的? 2011-04-26 23:37:35
e^2-e^(5/2)/2
回复此楼
3楼
2011-04-13 22:55:35
已阅
回复此楼
关注TA
给TA发消息
送TA红花
TA的回帖
happywtt
木虫
(正式写手)
应助: 0
(幼儿园)
金币: 1396.1
帖子: 443
在线: 18.3小时
虫号: 740294
麻烦给出解答过程或解题思路,谢谢
赞
一下
回复此楼
4楼
2011-04-14 13:39:56
已阅
回复此楼
关注TA
给TA发消息
送TA红花
TA的回帖
just_play
至尊木虫
(正式写手)
数学EPI: 12
应助: 6
(幼儿园)
贵宾: 0.1
金币: 11813.8
帖子: 688
在线: 667.1小时
虫号: 837886
★ ★
soliton923(金币+1): 谢谢参与 2011-04-15 22:18:22
math105(金币+1): 欢迎积极参与讨论。 2011-04-15 23:30:15
happywtt(金币+1): 不行 2011-04-26 23:37:14
令t=x+1/x换元积分就行了
赞
一下
(2人)
回复此楼
5楼
2011-04-14 17:42:48
已阅
回复此楼
关注TA
给TA发消息
送TA红花
TA的回帖
hzc0773
木虫
(著名写手)
应助: 0
(幼儿园)
金币: 2507.2
帖子: 1217
在线: 158.7小时
虫号: 1093021
e^2-e^(5/2)/4
回复此楼
6楼
2011-04-14 18:47:08
已阅
回复此楼
关注TA
给TA发消息
送TA红花
TA的回帖
happywtt
木虫
(正式写手)
应助: 0
(幼儿园)
金币: 1396.1
帖子: 443
在线: 18.3小时
虫号: 740294
★
math105(金币+1): 欢迎积极参与讨论。 2011-04-15 23:30:44
做出来了,观察出原函数是xe^(x+1/x)
赞
一下
(1人)
回复此楼
7楼
2011-04-15 12:34:13
已阅
回复此楼
关注TA
给TA发消息
送TA红花
TA的回帖
happywtt
木虫
(正式写手)
应助: 0
(幼儿园)
金币: 1396.1
帖子: 443
在线: 18.3小时
虫号: 740294
e^2-e^(5/2)/2 是正确答案
赞
一下
回复此楼
8楼
2011-04-15 12:35:02
已阅
回复此楼
关注TA
给TA发消息
送TA红花
TA的回帖
whutzhao
铁虫
(初入文坛)
应助: 0
(幼儿园)
金币: 28.6
帖子: 8
在线: 5.5小时
虫号: 756030
有兴趣知道下解答过程
赞
一下
回复此楼
9楼
2011-04-15 20:53:35
已阅
回复此楼
关注TA
给TA发消息
送TA红花
TA的回帖
相关版块跳转
数理科学综合
机械
物理
数学
农林
食品
地学
能源
信息科学
土木建筑
航空航天
转基因
我要订阅楼主
happywtt
的主题更新
9
1/1
返回列表
如果回帖内容含有宣传信息,请如实选中。否则帐号将被全论坛禁言
普通表情
龙
兔
虎
猫
高级回复
(可上传附件)
百度网盘
|
360云盘
|
千易网盘
|
华为网盘
在新窗口页面中打开自己喜欢的网盘网站,将文件上传后,然后将下载链接复制到帖子内容中就可以了。
信息提示
关闭
请填处理意见
关闭
确定