版块导航
正在加载中...
客户端APP下载
论文辅导
申博辅导
登录
注册
帖子
帖子
用户
本版
应《网络安全法》要求,自2017年10月1日起,未进行实名认证将不得使用互联网跟帖服务。为保障您的帐号能够正常使用,请尽快对帐号进行手机号验证,感谢您的理解与支持!
24小时热门版块排行榜
>
论坛更新日志
(3993)
>
虫友互识
(456)
>
文献求助
(451)
>
休闲灌水
(368)
>
导师招生
(274)
>
招聘信息布告栏
(124)
>
考博
(115)
>
博后之家
(114)
>
硕博家园
(91)
>
论文投稿
(80)
>
基金申请
(63)
>
教师之家
(61)
>
考研
(47)
>
绿色求助(高悬赏)
(35)
>
公派出国
(34)
>
外文书籍求助
(32)
小木虫论坛-学术科研互动平台
»
专业学科区
»
数学
»
计算数学
»
【求助】求解迭代式
2
1/1
返回列表
查看: 261 | 回复: 1
只看楼主
@他人
存档
新回复提醒
(忽略)
收藏
在APP中查看
luyehu198611
铁杆木虫
(正式写手)
应助: 12
(小学生)
金币: 6040
散金: 118
红花: 3
帖子: 796
在线: 151.9小时
虫号: 1170526
注册: 2010-12-15
性别: GG
专业: 工程热物理相关交叉领域
[交流]
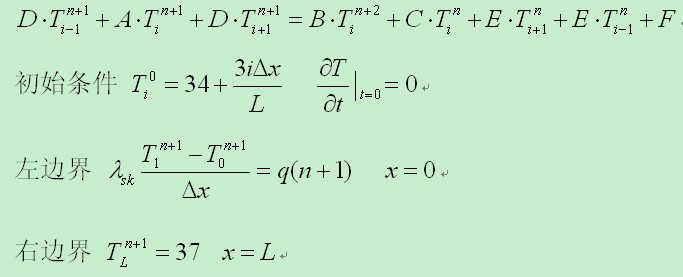
【求助】求解迭代式
已有1人参与
各位答谢,麻烦帮忙
回复此楼
» 猜你喜欢
全日制(定向)博士
已经有5人回复
假如你的研究生提出不合理要求
已经有10人回复
萌生出自己或许不适合搞科研的想法,现在跑or等等看?
已经有4人回复
Materials Today Chemistry审稿周期
已经有4人回复
参与限项
已经有3人回复
实验室接单子
已经有4人回复
对氯苯硼酸纯化
已经有3人回复
求助:我三月中下旬出站,青基依托单位怎么办?
已经有12人回复
所感
已经有4人回复
要不要辞职读博?
已经有7人回复
高级回复
» 本主题相关价值贴推荐,对您同样有帮助:
Fluent计算时的迭代问题
已经有7人回复
fortran能求带字母矩阵的本征值吗?(矩阵元素带有字母,能得到形式解吗)
已经有5人回复
谁懂迭代加权最小二乘法,能否给讲下原理
已经有6人回复
有个求解微分方程用到高斯赛德尔迭代的,算不太明白啊,各位帮忙看看
已经有5人回复
隐式欧拉法求解一阶常微分方程
已经有7人回复
急!!! Cu掺杂ZnO纳米线 电子迭代收敛不下去 是什么原因呀 各位大神
已经有5人回复
ArcGIS文件迭代器的使用问题
已经有5人回复
Mathematica迭代运算的终止条件怎么加进去
已经有7人回复
[求助}关于EXCEL迭代嵌套问题
已经有4人回复
多相流稳态计算,迭代20000多步,不收敛,怪异问题各位请进~
已经有14人回复
fluent迭代时候出现的问题
已经有7人回复
【求助】ANSYS或abaqus 等CAE软件的迭代求解的初值问题
已经有7人回复
非线性方程组的迭代法(数值计算高手请进)
已经有7人回复
【求助】求助:vb编程中用牛顿迭代解三次方程为什么只得到一个根?【已完成】
已经有15人回复
【分享】《如何求解问题——现代启发式方法》【已搜索无重复】
已经有52人回复
【求助】如何用Runge-Kutta迭代求解二阶常微分方程组【已解决】
已经有9人回复
踏实、求真、探索、务实
1楼
2011-01-07 10:27:19
已阅
回复此楼
关注TA
给TA发消息
送TA红花
TA的回帖
luyehu198611
铁杆木虫
(正式写手)
应助: 12
(小学生)
金币: 6040
散金: 118
红花: 3
帖子: 796
在线: 151.9小时
虫号: 1170526
注册: 2010-12-15
性别: GG
专业: 工程热物理相关交叉领域
如何求解, T(x,t)
回复此楼
踏实、求真、探索、务实
2楼
2011-01-07 10:27:55
已阅
回复此楼
关注TA
给TA发消息
送TA红花
TA的回帖
相关版块跳转
数理科学综合
机械
物理
数学
农林
食品
地学
能源
信息科学
土木建筑
航空航天
转基因
我要订阅楼主
luyehu198611
的主题更新
2
1/1
返回列表
如果回帖内容含有宣传信息,请如实选中。否则帐号将被全论坛禁言
普通表情
龙
兔
虎
猫
高级回复
(可上传附件)
百度网盘
|
360云盘
|
千易网盘
|
华为网盘
在新窗口页面中打开自己喜欢的网盘网站,将文件上传后,然后将下载链接复制到帖子内容中就可以了。
信息提示
关闭
请填处理意见
关闭
确定