| 查看: 2153 | 回复: 7 | |
[求助]
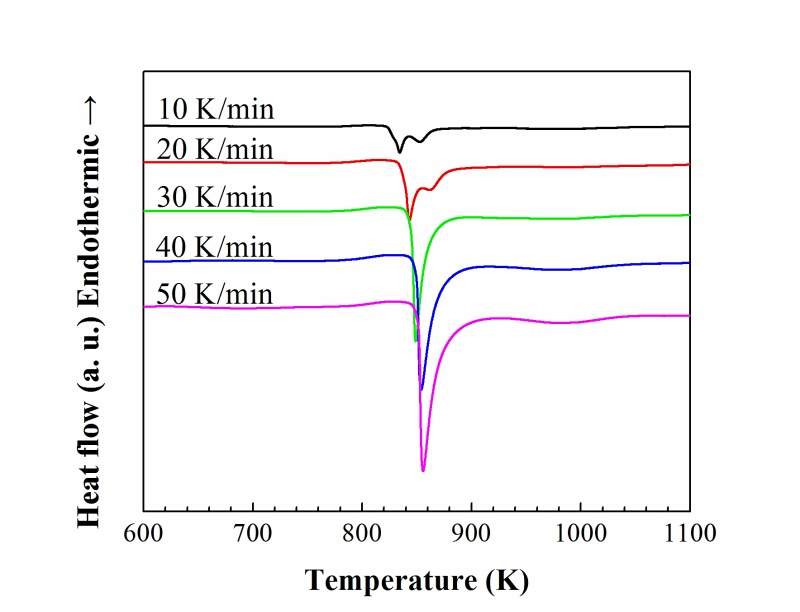
DSC曲线,升温速率身高,二重放热峰消失,为什么 已有1人参与
|
|
|
|
|
sxll至尊木虫 (职业作家)
|
|
|
2楼2017-05-26 08:07:50
|
|
|
3楼2017-05-26 14:26:20
|
|
sxll至尊木虫 (职业作家)
|
|
|
4楼2017-05-26 14:47:41
|
|
|
5楼2017-05-26 15:09:48
|
|
|
6楼2017-05-26 16:38:20
|
|
sxll至尊木虫 (职业作家)
|
|
|
7楼2017-05-26 16:56:44
|
|
|
8楼2017-06-09 10:18:57
|
|













回复此楼
50