²é¿´: 859  |  »Ø¸´: 6

Å£»¶

гæ (³õÈëÎÄ̳)

[ÇóÖú] ÀûÓÃmatlab£¬·ÇÏßÐÔ·½³ÌÇó½â

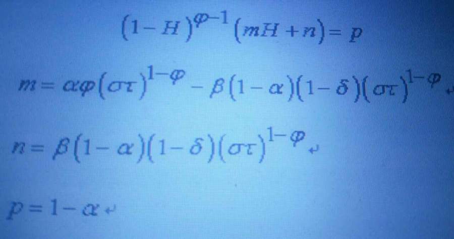
ÇóÖú£¬¶ÔÓÚmatlabÊÇС°×£¬ÐèÇó°ïÖú£¬·ÇÏßÐÔ·½³ÌÇó½âÎÊÌ⣬ÆäÖÐm£¬n£¬pÄܹ»µÃµ½Ð£×¼Öµ£¬ÇóH¡£@ÔÂÖ»À¶
»Ø¸´´ËÂ¥

» ²ÂÄãϲ»¶

» ±¾Ö÷ÌâÏà¹Ø¼ÛÖµÌùÍÆ¼ö£¬¶ÔÄúͬÑùÓаïÖú:

ÒÑÔÄ   »Ø¸´´ËÂ¥   ¹Ø×¢TA ¸øTA·¢ÏûÏ¢ ËÍTAºì»¨ TAµÄ»ØÌû

Å£»¶

гæ (³õÈëÎÄ̳)

·ÇÏßÐÔ·½³ÌÇó½â£¬ÆäÖÐm,n,p ÒÑÖª£¬M Ϊδ֪£¬Çó½âM
ÀûÓÃmatlab£¬·ÇÏßÐÔ·½³ÌÇó½â



·¢×ÔСľ³æAndroid¿Í»§¶Ë
2Â¥2017-05-03 13:45:32
ÒÑÔÄ   »Ø¸´´ËÂ¥   ¹Ø×¢TA ¸øTA·¢ÏûÏ¢ ËÍTAºì»¨ TAµÄ»ØÌû

smqh5207

½ð³æ (СÓÐÃûÆø)

ÒýÓûØÌû:
2Â¥: Originally posted by Å£»¶ at 2017-05-03 13:45:32
·ÇÏßÐÔ·½³ÌÇó½â£¬ÆäÖÐm,n,p ÒÑÖª£¬M Ϊδ֪£¬Çó½âM

Ìù¸öÎÊÌ⣬ÄãÒ²²»ËµÇå³þÁË£¬ÔõôÄܰﵽÄã
3Â¥2017-05-04 13:32:05
ÒÑÔÄ   »Ø¸´´ËÂ¥   ¹Ø×¢TA ¸øTA·¢ÏûÏ¢ ËÍTAºì»¨ TAµÄ»ØÌû
4Â¥2017-08-18 09:45:24
ÒÑÔÄ   »Ø¸´´ËÂ¥   ¹Ø×¢TA ¸øTA·¢ÏûÏ¢ ËÍTAºì»¨ TAµÄ»ØÌû
5Â¥2017-08-19 07:42:36
ÒÑÔÄ   »Ø¸´´ËÂ¥   ¹Ø×¢TA ¸øTA·¢ÏûÏ¢ ËÍTAºì»¨ TAµÄ»ØÌû
6Â¥2017-08-21 06:04:12
ÒÑÔÄ   »Ø¸´´ËÂ¥   ¹Ø×¢TA ¸øTA·¢ÏûÏ¢ ËÍTAºì»¨ TAµÄ»ØÌû
7Â¥2017-08-22 09:40:32
ÒÑÔÄ   »Ø¸´´ËÂ¥   ¹Ø×¢TA ¸øTA·¢ÏûÏ¢ ËÍTAºì»¨ TAµÄ»ØÌû
Ïà¹Ø°æ¿éÌø×ª ÎÒÒª¶©ÔÄÂ¥Ö÷ Å£»¶ µÄÖ÷Ìâ¸üÐÂ
×î¾ßÈËÆøÈÈÌûÍÆ¼ö [²é¿´È«²¿] ×÷Õß »Ø/¿´ ×îºó·¢±í
[¿¼ÑÐ] Ò»Ö¾Ô¸Öйúº£Ñó´óѧ£¬ÉúÎïѧ£¬301·Ö£¬Çóµ÷¼Á +3 1ËïÎò¿Õ 2026-03-17 3/150 2026-03-18 10:28 by macy2011
[¿¼ÑÐ] ÉúÎïѧ071000 329·ÖÇóµ÷¼Á +3 ÎÒ°®ÉúÎïÉúÎﰮΠ2026-03-17 3/150 2026-03-18 10:12 by macy2011
[¿¼ÑÐ] 085601²ÄÁϹ¤³Ìר˶Çóµ÷¼Á +5 Ľº®mio 2026-03-16 5/250 2026-03-17 21:31 by hmn_wj
[¿¼ÑÐ] 328Çóµ÷¼Á£¬Ó¢ÓïÁù¼¶551£¬ÓпÆÑо­Àú +3 ÉúÎ﹤³Ìµ÷¼Á 2026-03-16 8/400 2026-03-17 19:03 by Wangjingyue
[¿¼ÑÐ] 271Çóµ÷¼Á +12 ÉúÈçÏÄ»¨¡­ 2026-03-11 14/700 2026-03-17 10:56 by lovewei0727
[¿¼ÑÐ] 283Çóµ÷¼Á +3 Ìý·ç¾ÍÊÇÓꣻ 2026-03-16 3/150 2026-03-17 07:41 by ÈÈÇéɳĮ
[¿¼ÑÐ] Ò»Ö¾Ô¸211 0703·½Ïò310·ÖÇóµ÷¼Á +3 ŬÁ¦·Ü¶·112 2026-03-15 3/150 2026-03-16 16:44 by houyaoxu
[¿¼ÑÐ] 0703»¯Ñ§µ÷¼Á +6 ÄÝÄÝninicgb 2026-03-15 9/450 2026-03-16 16:40 by houyaoxu
[¿¼ÑÐ] 0703Ò»Ö¾Ô¸211 285·ÖÇóµ÷¼Á +5 ly3471z 2026-03-13 5/250 2026-03-16 16:16 by ŶŶ123
[¿¼ÑÐ] 070303Ò»Ö¾Ô¸Î÷±±´óѧѧ˶310ÕÒµ÷¼Á +5 dÈçÔ¸Éϰ¶ 2026-03-12 8/400 2026-03-16 15:19 by peike
[¿¼ÑÐ] 288Çóµ÷¼Á +4 Ææµã0314 2026-03-14 4/200 2026-03-14 23:04 by JourneyLucky
[¿¼ÑÐ] Ò»Ö¾Ô¸¹þ¹¤´ó²ÄÁÏ324·ÖÇóµ÷¼Á +5 ãÆÐñ¶« 2026-03-14 5/250 2026-03-14 14:53 by ľ¹Ï¸à
[¿¼ÑÐ] ¡¾0703»¯Ñ§µ÷¼Á¡¿-Ò»Ö¾Ô¸»ªÖÐʦ·¶´óѧ-Áù¼¶475 +5 Becho359 2026-03-11 5/250 2026-03-14 11:35 by ŶŶ123
[»ù½ðÉêÇë] ÓбØÒª¸ü»»É걨¿ÚÂð 20+3 fannyamoy 2026-03-11 3/150 2026-03-14 00:52 by zhanghaozhu
[¿¼ÑÐ] 304Çóµ÷¼Á +6 Mochaaaa 2026-03-12 7/350 2026-03-13 22:18 by ÐÇ¿ÕÐÇÔÂ
[¿¼ÑÐ] 26µ÷¼Á/²ÄÁÏ/Ó¢Ò»Êý¶þ/×Ü·Ö289/ÒѹýAÇøÏß +6 ²½´¨¿á×Ï123 2026-03-13 6/300 2026-03-13 21:59 by ÐÇ¿ÕÐÇÔÂ
[¿¼ÑÐ] 304Çóµ÷¼Á +7 7712b 2026-03-13 7/350 2026-03-13 21:42 by peike
[¿¼ÑÐ] 311Çóµ÷¼Á +3 ¶¬Ê®Èý 2026-03-13 3/150 2026-03-13 20:41 by JourneyLucky
[¿¼ÑÐ] 290Çóµ÷¼Á +7 ADT 2026-03-12 7/350 2026-03-13 15:17 by JourneyLucky
[¿¼ÑÐ] ÍÁľµÚÒ»Ö¾Ô¸276Çóµ÷¼Á£¬¿ÆÑкͼ¼ÄÜÊ®·Ö·á¸»£¬ÇóÐÂÐË·½ÏòµÄµ¼Ê¦ÊÕÁô +3 ÍÁľСÌì²Å 2026-03-12 3/150 2026-03-13 15:01 by JourneyLucky
ÐÅÏ¢Ìáʾ
ÇëÌî´¦ÀíÒâ¼û