| 查看: 754 | 回复: 2 | ||||
hylb3020木虫 (正式写手)
流体力学爱好者
|
[求助]
求助:利用split-step Fourier 方法求解非线性Schrodinger方程的数值解的matlab 程序 已有1人参与
|
|
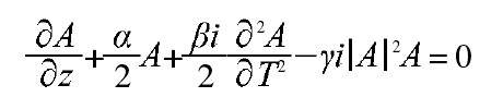
如图所示,用分步傅里叶方法求解Schrodinger方程数值解的matlab 程序。 看了一些相关的论文,一般都是把方程分为线性和非线性两部分,然后分别利用傅里叶变换或者差分方法求数值解。 不过,我刚刚学习matlab不久,所以不知道如何编程计算。 希望能得到广大虫友的帮助,最好是写得详细一些。 谢谢。 001.jpg |
» 猜你喜欢
机械工程264学硕求调剂
已经有3人回复
264求调剂
已经有9人回复
求调剂
已经有6人回复
22408 266求调剂
已经有7人回复
求调剂
已经有14人回复
273求调剂
已经有43人回复
307求调剂
已经有13人回复
327求调剂
已经有7人回复
338求调剂
已经有6人回复
326分,一志愿沪9,求生物学调剂
已经有3人回复

feixiaolin
荣誉版主 (文坛精英)
-

专家经验: +518 - 应助: 942 (博后)
- 贵宾: 1.275
- 金币: 3880
- 散金: 58785
- 红花: 532
- 沙发: 11
- 帖子: 24215
- 在线: 2601.8小时
- 虫号: 2139575
- 注册: 2012-11-21
- 专业: 光学信息获取与处理
- 管辖: 数学
【答案】应助回帖
★ ★ ★ ★ ★ ★ ★ ★
感谢参与,应助指数 +1
hylb3020: 金币+8, ★有帮助 2014-02-23 09:11:51
感谢参与,应助指数 +1
hylb3020: 金币+8, ★有帮助 2014-02-23 09:11:51
|
Split-step Fourier method for nonlinear Schr¨odinger equation 非线性薛定谔方程数值解的MATLAB仿真 |
» 本帖附件资源列表
-
欢迎监督和反馈:小木虫仅提供交流平台,不对该内容负责。
本内容由用户自主发布,如果其内容涉及到知识产权问题,其责任在于用户本人,如对版权有异议,请联系邮箱:xiaomuchong@tal.com - 附件 1 : Split-stepFouriermethodfornonlinearSchr¨odingerequation.pdf
- 附件 2 : 非线性薛定谔方程数值解的MATLAB仿真.docx
2014-02-23 08:07:13, 183.63 K
2014-02-23 08:07:37, 324.2 K
2楼2014-02-23 08:07:53
hylb3020
木虫 (正式写手)
流体力学爱好者
- 应助: 14 (小学生)
- 金币: 1976.9
- 散金: 498
- 红花: 5
- 帖子: 317
- 在线: 402.4小时
- 虫号: 2020234
- 注册: 2012-09-22
- 性别: GG
- 专业: 流体力学

3楼2014-02-23 09:12:47














回复此楼