版块导航
正在加载中...
客户端APP下载
论文辅导
调剂小程序
登录
注册
帖子
帖子
用户
本版
应《网络安全法》要求,自2017年10月1日起,未进行实名认证将不得使用互联网跟帖服务。为保障您的帐号能够正常使用,请尽快对帐号进行手机号验证,感谢您的理解与支持!
24小时热门版块排行榜
>
论坛更新日志
(3542)
>
虫友互识
(429)
>
休闲灌水
(243)
>
文献求助
(241)
>
导师招生
(190)
>
考博
(93)
>
考研
(89)
>
硕博家园
(59)
>
博后之家
(56)
>
论文投稿
(49)
>
基金申请
(41)
>
教师之家
(39)
>
公派出国
(35)
>
论文道贺祈福
(34)
>
招聘信息布告栏
(33)
>
找工作
(28)
小木虫论坛-学术科研互动平台
»
专业学科区
»
信息科学
»
电子科学
»
这个推导怎么来的?
7
1/1
返回列表
查看: 915 | 回复: 6
只看楼主
@他人
存档
新回复提醒
(忽略)
收藏
在APP中查看
ljjj
金虫
(著名写手)
应助: 0
(幼儿园)
金币: 1213.1
散金: 100
帖子: 1456
在线: 59.8小时
虫号: 2628870
注册: 2013-09-02
性别: GG
专业: 概率论与随机分析
[
求助
]
这个推导怎么来的?
已有1人参与
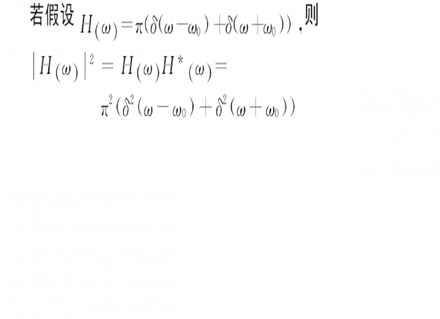
余弦函数的功率谱,幅值是有这个特性吗?怎么推导出来的?
特性.png
回复此楼
» 猜你喜欢
售SCI一区文章,我:8 O5 51O 54,科目齐全,可+急
已经有3人回复
售SCI一区文章,我:8 O5 51O 54,科目齐全,可+急
已经有6人回复
为什么中国大学教授们水了那么多所谓的顶会顶刊,但还是做不出宇树机器人?
已经有4人回复
版面费该交吗
已经有4人回复
面上可以超过30页吧?
已经有3人回复
售SCI一区文章,我:8 O5 51O 54,科目齐全,可+急
已经有6人回复
售SCI一区文章,我:8 O5 51O 54,科目齐全,可+急
已经有3人回复
售SCI一区文章,我:8 O5 51O 54,科目齐全,可+急
已经有4人回复
售SCI一区文章,我:8 O5 51O 54,科目齐全,可+急
已经有3人回复
售SCI一区文章,我:8 O5 51O 54,科目齐全,可+急
已经有4人回复
» 本主题相关价值贴推荐,对您同样有帮助:
求助虫友,你的数学还好吗?
已经有1人回复
蚁群算法应用中的参数是怎么选择的?
已经有5人回复
复杂度更低,但没有实验的算法,怎么和它对比?
已经有4人回复
小白求助,DPD模拟中没办法模拟气液共存项的原因???
已经有1人回复
请教各位,你写的第一篇文章里面的数学推导公式是怎么来的啊??
已经有10人回复
老板有没有说过“论文没问题吧,能按期毕业吧?呵呵......”大概这类意思的话语?
已经有6人回复
审一篇国人的文章,真心觉得国人的文章怎么都这样写?
已经有1人回复
各位前辈,谁能告诉我这几个表达式出自何处?
已经有2人回复
能不能帮我看看这个圣维南方程是怎么推导来的?
已经有2人回复
关于towhee 回答zhang_jaj的问题
已经有44人回复
求推导公式的常数是怎么来的
已经有1人回复
想发表Nice paper 吗?
已经有4人回复
前辈高手告诉你考研数学笔记该怎么做才好?
已经有14人回复
怎样在学术报告中提问?怎样答问?
已经有5人回复
这个论文题目怎么拟才好?(2010-7-17 14:23修改,吸收了大家的点评)
已经有10人回复
【求助】一个平面波能用多个球面波来表示么?
已经有10人回复
谨此献给去欧洲留学PhD或者MS的虫友,希望对你有所帮助-正在更新
已经有126人回复
1楼
2016-07-17 06:19:02
已阅
回复此楼
关注TA
给TA发消息
送TA红花
TA的回帖
fivegod
新虫
(正式写手)
应助: 4
(幼儿园)
金币: 958.6
散金: 1038
红花: 4
帖子: 615
在线: 83.6小时
虫号: 4022758
注册: 2015-08-14
专业: 泛函分析
两个不同的冲激函数相乘结果是零,结果只有平方项。
发自小木虫Android客户端
赞
一下
回复此楼
2楼
2016-07-17 07:20:51
已阅
回复此楼
关注TA
给TA发消息
送TA红花
TA的回帖
ljjj
金虫
(著名写手)
应助: 0
(幼儿园)
金币: 1213.1
散金: 100
帖子: 1456
在线: 59.8小时
虫号: 2628870
注册: 2013-09-02
性别: GG
专业: 概率论与随机分析
两个冲积函数相乘不是零啊,根据性质,delt(w-w1)*delt(w-w2)=delt(w-w1-w2).
赞
一下
回复此楼
3楼
2016-07-17 07:27:08
已阅
回复此楼
关注TA
给TA发消息
送TA红花
TA的回帖
ljjj
金虫
(著名写手)
应助: 0
(幼儿园)
金币: 1213.1
散金: 100
帖子: 1456
在线: 59.8小时
虫号: 2628870
注册: 2013-09-02
性别: GG
专业: 概率论与随机分析
能否给个公式推导?两个左右对称的冲激函数相乘不为0.
赞
一下
回复此楼
4楼
2016-07-17 07:45:02
已阅
回复此楼
关注TA
给TA发消息
送TA红花
TA的回帖
ljjj
金虫
(著名写手)
应助: 0
(幼儿园)
金币: 1213.1
散金: 100
帖子: 1456
在线: 59.8小时
虫号: 2628870
注册: 2013-09-02
性别: GG
专业: 概率论与随机分析
看我这样说是否对。f(w)=delt(w-w0)*delt(w+w0)=delt(w-w0+w0)=delt(w).当w=w0时,f(w)=0,只有当w=0时,f(w)=delt(w).
赞
一下
回复此楼
5楼
2016-07-17 08:57:43
已阅
回复此楼
关注TA
给TA发消息
送TA红花
TA的回帖
我快气死了
引用回帖:
5楼
:
Originally posted by
ljjj
at 2016-07-17 08:57:43
看我这样说是否对。f(w)=delt(w-w0)*delt(w+w0)=delt(w-w0+w0)=delt(w).当w=w0时,f(w)=0,只有当w=0时,f(w)=delt(w).
是
6楼
2016-07-18 03:27:17
已阅
回复此楼
关注TA
给TA发消息
送TA红花
TA的回帖
doghw
银虫
(小有名气)
应助: 0
(幼儿园)
金币: 26
帖子: 51
在线: 43小时
虫号: 2586825
注册: 2013-08-08
专业: 凝聚态物性 II :电子结构
【答案】应助回帖
1)用两个函数相乘来理解;
2)用图解法来做相乘。
赞
一下
回复此楼
虚无缥缈
7楼
2016-07-20 18:45:39
已阅
回复此楼
关注TA
给TA发消息
送TA红花
TA的回帖
相关版块跳转
数理科学综合
机械
物理
数学
农林
食品
地学
能源
信息科学
土木建筑
航空航天
转基因
我要订阅楼主
ljjj
的主题更新
7
1/1
返回列表
如果回帖内容含有宣传信息,请如实选中。否则帐号将被全论坛禁言
普通表情
龙
兔
虎
猫
百度网盘
|
360云盘
|
千易网盘
|
华为网盘
在新窗口页面中打开自己喜欢的网盘网站,将文件上传后,然后将下载链接复制到帖子内容中就可以了。
信息提示
关闭
请填处理意见
关闭
确定