Znn3bq.jpeg
²é¿´: 1182  |  »Ø¸´: 7

leex01

½ð³æ (СÓÐÃûÆø)

[ÇóÖú] Çó½â¶þ½×΢·Ö·½³Ì×é

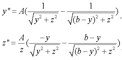
ÏÂÃæ¶þ½×΢·Ö·½³Ì×éÈçºÎÇó½â³öy£¨t£©¡¢z£¨t£©µÄ±í´ïʽ£¬AÊdz£Êý¡£ÓÐûÓкõķ½·¨£¬ÇóÖú¸ßÊÖ£¬Ð»Ð»

Çó½â¶þ½×΢·Ö·½³Ì×é
11.png
»Ø¸´´ËÂ¥

» ²ÂÄãϲ»¶

» ±¾Ö÷ÌâÏà¹Ø¼ÛÖµÌùÍÆ¼ö£¬¶ÔÄúͬÑùÓаïÖú:

ÒÑÔÄ   »Ø¸´´ËÂ¥   ¹Ø×¢TA ¸øTA·¢ÏûÏ¢ ËÍTAºì»¨ TAµÄ»ØÌû

chenyuwen

½ð³æ (ÕýʽдÊÖ)

ÕâÊǸö¶þ½×·ÇÏßÐÔ·½³Ì£¬Â¥Ö÷Ê×ÏÈҪȷ¶¨Õâ¸ö·½³Ì×éÓнâÎö½â

·¢×ÔСľ³æAndroid¿Í»§¶Ë
2Â¥2016-05-18 20:56:43
ÒÑÔÄ   »Ø¸´´ËÂ¥   ¹Ø×¢TA ¸øTA·¢ÏûÏ¢ ËÍTAºì»¨ TAµÄ»ØÌû

chenyuwen

½ð³æ (ÕýʽдÊÖ)

³ýÁËÉÙÊýÇé¿ö£¬Ò»°ã·ÇÏßÐÔ·½³ÌºÜÄÑÕÒµ½½âÎö½â£¬Ö»ÄÜÓнüËÆ½â»òÕßÊýÖµ½â

·¢×ÔСľ³æAndroid¿Í»§¶Ë
3Â¥2016-05-18 20:58:46
ÒÑÔÄ   »Ø¸´´ËÂ¥   ¹Ø×¢TA ¸øTA·¢ÏûÏ¢ ËÍTAºì»¨ TAµÄ»ØÌû

leex01

½ð³æ (СÓÐÃûÆø)

ÒýÓûØÌû:
3Â¥: Originally posted by chenyuwen at 2016-05-18 20:58:46
³ýÁËÉÙÊýÇé¿ö£¬Ò»°ã·ÇÏßÐÔ·½³ÌºÜÄÑÕÒµ½½âÎö½â£¬Ö»ÄÜÓнüËÆ½â»òÕßÊýÖµ½â

¶÷£¬½üËÆ½â»òÕßÊýÖµ½âÒ»°ãÓÃʲô·½Ê½Çó½âÄØ£¿
4Â¥2016-05-18 21:11:03
ÒÑÔÄ   »Ø¸´´ËÂ¥   ¹Ø×¢TA ¸øTA·¢ÏûÏ¢ ËÍTAºì»¨ TAµÄ»ØÌû

chenyuwen

½ð³æ (ÕýʽдÊÖ)

ÒýÓûØÌû:
4Â¥: Originally posted by leex01 at 2016-05-18 21:11:03
¶÷£¬½üËÆ½â»òÕßÊýÖµ½âÒ»°ãÓÃʲô·½Ê½Çó½âÄØ£¿...

½üËÆ½âËæ·½³Ì¶øÒ죬ÊýÖµ½âÒ»°ãÓÃÁú¸ñ¿âËþ·¨£¬ºóÕßÕÒ±¾½²matlabµÄÊé¿´¿´°É

·¢×ÔСľ³æAndroid¿Í»§¶Ë

» ±¾ÌûÒÑ»ñµÃµÄºì»¨£¨×îÐÂ10¶ä£©

5Â¥2016-05-18 21:16:31
ÒÑÔÄ   »Ø¸´´ËÂ¥   ¹Ø×¢TA ¸øTA·¢ÏûÏ¢ ËÍTAºì»¨ TAµÄ»ØÌû

leex01

½ð³æ (СÓÐÃûÆø)

Ëͺ컨һ¶ä
ÒýÓûØÌû:
5Â¥: Originally posted by chenyuwen at 2016-05-18 21:16:31
½üËÆ½âËæ·½³Ì¶øÒ죬ÊýÖµ½âÒ»°ãÓÃÁú¸ñ¿âËþ·¨£¬ºóÕßÕÒ±¾½²matlabµÄÊé¿´¿´°É
...

лл¡£ÎÒÕâ×é·½³ÌÄÜÇó½üËÆ½âÂð£¿
6Â¥2016-05-18 21:23:18
ÒÑÔÄ   »Ø¸´´ËÂ¥   ¹Ø×¢TA ¸øTA·¢ÏûÏ¢ ËÍTAºì»¨ TAµÄ»ØÌû

chenyuwen

½ð³æ (ÕýʽдÊÖ)

ÒýÓûØÌû:
6Â¥: Originally posted by leex01 at 2016-05-18 21:23:18
лл¡£ÎÒÕâ×é·½³ÌÄÜÇó½üËÆ½âÂð£¿...

Ò²Ðí¿ÉÒÔ£¬µ«±¾ÈËˮƽÓÐÏÞ£¬²»ºÃÒâ˼

·¢×ÔСľ³æAndroid¿Í»§¶Ë
7Â¥2016-05-18 21:38:03
ÒÑÔÄ   »Ø¸´´ËÂ¥   ¹Ø×¢TA ¸øTA·¢ÏûÏ¢ ËÍTAºì»¨ TAµÄ»ØÌû

leex01

½ð³æ (СÓÐÃûÆø)

ÒýÓûØÌû:
7Â¥: Originally posted by chenyuwen at 2016-05-18 21:38:03
Ò²Ðí¿ÉÒÔ£¬µ«±¾ÈËˮƽÓÐÏÞ£¬²»ºÃÒâ˼
...

ºÃµÄ£¬»¹ÊǷdz£¸Ðл
8Â¥2016-05-18 21:46:18
ÒÑÔÄ   »Ø¸´´ËÂ¥   ¹Ø×¢TA ¸øTA·¢ÏûÏ¢ ËÍTAºì»¨ TAµÄ»ØÌû
Ïà¹Ø°æ¿éÌø×ª ÎÒÒª¶©ÔÄÂ¥Ö÷ leex01 µÄÖ÷Ìâ¸üÐÂ
×î¾ßÈËÆøÈÈÌûÍÆ¼ö [²é¿´È«²¿] ×÷Õß »Ø/¿´ ×îºó·¢±í
[¿¼ÑÐ] ²ÄÁÏ¿¼Ñе÷¼Á +22 ÔÆÄ¾´ï´ï 2026-04-11 24/1200 2026-04-11 15:44 by wp06
[¿¼ÑÐ] 272·Ö²ÄÁÏ×ÓÇóµ÷¼Á +34 Loy0361 2026-04-10 43/2150 2026-04-11 13:11 by nixunhuan
[¿¼ÑÐ] 269Çóµ÷¼Á +8 ¹òÇóÊÕÁô¡£ 2026-04-04 8/400 2026-04-11 10:50 by zhq0425
[¿¼ÑÐ] 283Çóµ÷¼Á +22 ÄǸöàà×Ó 2026-04-09 22/1100 2026-04-11 10:41 by ÄæË®³Ë·ç
[¿¼ÑÐ] 268·Ö085602»¯Ñ§¹¤³Ìµ÷¼Á +27 ÔÂÕÕ»¨ÁÖ¡£ 2026-04-09 27/1350 2026-04-11 10:40 by maddjdld
[¿¼ÑÐ] ÉúÎïѧ308Çóµ÷¼Á£¨Ò»Ö¾Ô¸»ª¶«Ê¦´ó£© +6 ÏàÐűػá¹ââÍòÕ 2026-04-10 6/300 2026-04-11 05:23 by zhuwenxu
[¿¼ÑÐ] һ־Ը³¶«´óѧ071000ÉúÎïѧѧ˶³õÊÔ·ÖÊý276Çóµ÷¼Á +20 Ľ¾øcc 2026-04-09 24/1200 2026-04-10 10:22 by xujun0624
[¿¼ÑÐ] 301Çóµ÷¼Á +6 ¾²¾²ÏëÏë 2026-04-05 6/300 2026-04-10 09:15 by Delta2012
[¿¼ÑÐ] 367Çóµ÷¼Á +10 hffQAQ 2026-04-09 10/500 2026-04-09 18:06 by lijunpoly
[¿¼ÑÐ] 085600²ÄÁÏÓ뻯¹¤£¬Çóµ÷¼Á +11 won_qii 2026-04-07 11/550 2026-04-09 17:03 by luoyongfeng
[¿¼ÑÐ] 266µ÷¼Á +8 daya sun 2026-04-07 9/450 2026-04-08 20:27 by yutian743
[¿¼ÑÐ] Ò»Ö¾Ô¸Ö£ÖÝ´óѧ085600Çóµ÷¼Á +21 ³ÔµÄ²»ÉÙ 2026-04-05 24/1200 2026-04-08 16:47 by sunhuadong
[¿¼ÑÐ] 281Çóµ÷¼Á +10 Ò¬×ÓÄ¢¹½ 2026-04-06 10/500 2026-04-08 11:43 by zzucheup
[¿¼ÑÐ] 313Çóµ÷¼Á +3 Ê®Áùʰ½ 2026-04-07 3/150 2026-04-07 23:20 by lbsjt
[¿¼ÑÐ] 085602µ÷¼Á ³õÊÔ×Ü·Ö335 +3 19123253302 2026-04-06 3/150 2026-04-07 18:00 by jp9609
[¿¼ÑÐ] һ־Ը̫ԭÀí¹¤´óѧ¼ÆËã»ú¼¼Êõר˶348£¬Çóµ÷¼ÁÖ¸µ¼ +3 nexious 2026-04-05 3/150 2026-04-07 08:19 by jp9609
[¿¼ÑÐ] 297·Ö083200ÇóÖú +9 aekx 2026-04-05 9/450 2026-04-06 20:57 by flysky1234
[¿¼ÑÐ] £¨µ÷¼Á£©Ò»Ö¾Ô¸±¨¿¼¹þ¶û±õ¹¤Òµ´óѧ0857×ÊÔ´Óë»·¾³×¨Òµ378·Ö¿¼Éú +7 ºÝºÝ¼ÓÓÍ 2026-04-05 8/400 2026-04-06 16:52 by momoð©
[¿¼ÑÐ] 362Çóµ÷¼ÁÒ»Ö¾Ô¸ÖйúʯÓÍ´óѧ +4 ÎÒÒª¿¼´ó 2026-04-06 6/300 2026-04-06 14:11 by Î޼ʵIJÝÔ­
[¿¼ÑÐ] 0855Çóµ÷¼Á²ÄÁÏ +11 ºìÌÒׯׯ 2026-04-04 12/600 2026-04-06 10:26 by À¶ÔÆË¼Óê
ÐÅÏ¢Ìáʾ
ÇëÌî´¦ÀíÒâ¼û