版块导航
正在加载中...
客户端APP下载
论文辅导
申博辅导
登录
注册
帖子
帖子
用户
本版
应《网络安全法》要求,自2017年10月1日起,未进行实名认证将不得使用互联网跟帖服务。为保障您的帐号能够正常使用,请尽快对帐号进行手机号验证,感谢您的理解与支持!
24小时热门版块排行榜
>
论坛更新日志
(1715)
>
虫友互识
(114)
>
硕博家园
(32)
>
考博
(25)
>
论文投稿
(23)
>
基金申请
(16)
>
教师之家
(16)
>
找工作
(15)
>
文献求助
(15)
>
导师招生
(13)
>
博后之家
(11)
>
休闲灌水
(11)
>
论文道贺祈福
(9)
>
考研
(9)
>
公派出国
(8)
>
招聘信息布告栏
(5)
小木虫论坛-学术科研互动平台
»
专业学科区
»
数学
»
数学综合
»
请问这个方程组怎么解?
7
1/1
返回列表
查看: 731 | 回复: 6
只看楼主
@他人
存档
新回复提醒
(忽略)
收藏
在APP中查看
y1q2w3e
新虫
(初入文坛)
应助: 1
(幼儿园)
金币: 392.5
帖子: 19
在线: 8.4小时
虫号: 3512544
注册: 2014-11-01
专业: 计算机科学的基础理论
[
求助
]
请问这个方程组怎么解?
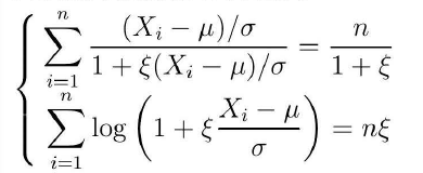
如图方程组。其中n,Xi,u已知,Xi为一个n维向量
可以用Maple解么?可以的话 求教具体细节
比较急
谢谢
146C.tmp.png
回复此楼
» 猜你喜欢
寻求一种能扛住强氧化性腐蚀性的容器密封件
已经有7人回复
到新单位后,换了新的研究方向,没有团队,持续积累2区以上论文,能申请到面上吗
已经有8人回复
申请2026年博士
已经有6人回复
请问哪里可以有青B申请的本子可以借鉴一下。
已经有5人回复
天津工业大学郑柳春团队欢迎化学化工、高分子化学或有机合成方向的博士生和硕士生加入
已经有5人回复
2025冷门绝学什么时候出结果
已经有7人回复
请问有评职称,把科研教学业绩算分排序的高校吗
已经有6人回复
Bioresource Technology期刊,第一次返修的时候被退回好几次了
已经有7人回复
请问下大家为什么这个铃木偶联几乎不反应呢
已经有5人回复
康复大学泰山学者周祺惠团队招收博士研究生
已经有6人回复
» 本主题相关价值贴推荐,对您同样有帮助:
如何用matlab解符号方程组
已经有4人回复
求用spss解方程组
已经有2人回复
如何解含有字母表示的方程组,谢谢了谢谢
已经有10人回复
这个非线性方程怎么解啊?
已经有4人回复
解吸动力学方程拟合后对r进行显著性分析,以及求标准误差SE
已经有1人回复
考研福利! 2014考研数学必看 张宇各种答疑解惑!
已经有5人回复
matlab小白,请大侠给说个思路
已经有3人回复
请问这个4阶的非线性偏微分方程组在PDE中怎么解?等待高手解答。
已经有17人回复
matlab数值求解边界条件微分方程组
已经有7人回复
求助matlab数值解微分方程组
已经有0人回复
【求助】此常微分方程组怎么解
已经有2人回复
1楼
2016-03-26 21:21:30
已阅
回复此楼
关注TA
给TA发消息
送TA红花
TA的回帖
y1q2w3e
新虫
(初入文坛)
应助: 1
(幼儿园)
金币: 392.5
帖子: 19
在线: 8.4小时
虫号: 3512544
注册: 2014-11-01
专业: 计算机科学的基础理论
试着用Maple解了一下 算了十几分钟还是没结果
代码如下
547.tmp.png
59C.tmp.png
赞
一下
回复此楼
2楼
2016-03-26 23:38:29
已阅
回复此楼
关注TA
给TA发消息
送TA红花
TA的回帖
y1q2w3e
新虫
(初入文坛)
应助: 1
(幼儿园)
金币: 392.5
帖子: 19
在线: 8.4小时
虫号: 3512544
注册: 2014-11-01
专业: 计算机科学的基础理论
有没有大神帮忙解答一下
赞
一下
回复此楼
3楼
2016-03-26 23:49:04
已阅
回复此楼
关注TA
给TA发消息
送TA红花
TA的回帖
WolfYang
至尊木虫
(职业作家)
应助: 138
(高中生)
金币: 16895.4
红花: 11
帖子: 3080
在线: 927.1小时
虫号: 2496982
注册: 2013-06-05
专业: 力学中的基本问题和方法
你的方程组是封闭的?怎么是未知数个数大于方程个数的不定方程组啊?Maple求解难度有点大呃
发自小木虫Android客户端
赞
一下
(1人)
回复此楼
4楼
2016-03-27 03:32:42
已阅
回复此楼
关注TA
给TA发消息
送TA红花
TA的回帖
WolfYang
至尊木虫
(职业作家)
应助: 138
(高中生)
金币: 16895.4
红花: 11
帖子: 3080
在线: 927.1小时
虫号: 2496982
注册: 2013-06-05
专业: 力学中的基本问题和方法
n=2是可解方程,n大于2是欠定方程组,怎么解?
发自小木虫Android客户端
赞
一下
回复此楼
5楼
2016-03-27 03:35:17
已阅
回复此楼
关注TA
给TA发消息
送TA红花
TA的回帖
WolfYang
至尊木虫
(职业作家)
应助: 138
(高中生)
金币: 16895.4
红花: 11
帖子: 3080
在线: 927.1小时
虫号: 2496982
注册: 2013-06-05
专业: 力学中的基本问题和方法
方程组是非线性的,可用拟牛顿法求解,或者优化法。
发自小木虫Android客户端
赞
一下
回复此楼
6楼
2016-03-27 03:37:57
已阅
回复此楼
关注TA
给TA发消息
送TA红花
TA的回帖
WolfYang
至尊木虫
(职业作家)
应助: 138
(高中生)
金币: 16895.4
红花: 11
帖子: 3080
在线: 927.1小时
虫号: 2496982
注册: 2013-06-05
专业: 力学中的基本问题和方法
看明白了,这是二元二次非线性方程组,用牛顿迭代法求解,迭代时初值选取,可以用Maple,画个参数图,初步估计零解的坐标。
发自小木虫Android客户端
赞
一下
(1人)
回复此楼
7楼
2016-03-27 16:20:22
已阅
回复此楼
关注TA
给TA发消息
送TA红花
TA的回帖
相关版块跳转
数理科学综合
机械
物理
数学
农林
食品
地学
能源
信息科学
土木建筑
航空航天
转基因
我要订阅楼主
y1q2w3e
的主题更新
7
1/1
返回列表
如果回帖内容含有宣传信息,请如实选中。否则帐号将被全论坛禁言
普通表情
龙
兔
虎
猫
百度网盘
|
360云盘
|
千易网盘
|
华为网盘
在新窗口页面中打开自己喜欢的网盘网站,将文件上传后,然后将下载链接复制到帖子内容中就可以了。
信息提示
关闭
请填处理意见
关闭
确定