| ²é¿´: 1458 | »Ø¸´: 4 | |||
Ìïɽ¶«¾èÖú¹ó±ö (ÖøÃûдÊÖ)
|
[ÇóÖú]
ÈçºÎÓÃmatlab½â·ûºÅ·½³Ì×é ÒÑÓÐ1È˲ÎÓë
|
|
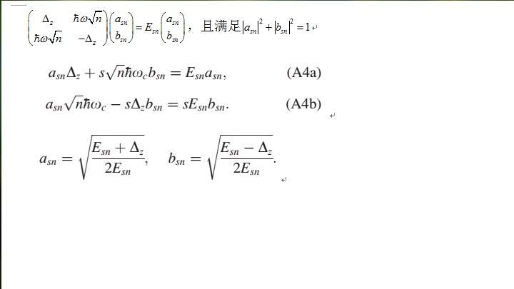
ÎÒÕâÀïÓиö·ûºÅ·½³Ì×飬ÇëÎÊÏÂÔõôÇó½âÁ½¸öϵÊý£¿ ÕâÊǸöÀý×Ó£¬ÎÒ»¹Óиöά¶È¸ü´óµãµÄ£¬ÓÃÏàͬ·½·¨Çó¡£ ºÃÏñmatlab mupad¿ÉÒԽ⣬ÓÐÈËÄܸø³ö½â¾ö·½°¸²¿£¿ ллÄãÃÇÀ²¡£ ×£ÄãÃǺÃÔË |
» ÊÕ¼±¾ÌûµÄÌÔÌûר¼ÍƼö
matlab±à³Ì»æÍ¼ |
» ²ÂÄãϲ»¶
µçÆø×¨Ë¶320Çóµ÷¼Á
ÒѾÓÐ5È˻ظ´
Ò»Ö¾Ô¸Î÷±±¹¤Òµ´óѧ289 085602
ÒѾÓÐ33È˻ظ´
Ò»Ö¾Ô¸¹þ¹¤´ó 085600 277 12²Ä¿Æ»ùÇóµ÷¼Á
ÒѾÓÐ24È˻ظ´
268·Ö085602»¯Ñ§¹¤³Ìµ÷¼Á
ÒѾÓÐ28È˻ظ´
»¯Ñ§¹¤³Ìµ÷¼Á289
ÒѾÓÐ50È˻ظ´
Çóµ÷¼Á£¬262»úеר˶
ÒѾÓÐ8È˻ظ´
305Çóµ÷¼Á
ÒѾÓÐ6È˻ظ´
327Çóµ÷¼Á
ÒѾÓÐ5È˻ظ´
347Çóµ÷¼Á
ÒѾÓÐ4È˻ظ´
272·Ö²ÄÁÏ×ÓÇóµ÷¼Á
ÒѾÓÐ47È˻ظ´
» ±¾Ö÷ÌâÏà¹Ø¼ÛÖµÌùÍÆ¼ö£¬¶ÔÄúͬÑùÓаïÖú:
ÈçºÎÓÃmatlab½âx,yÁ½¸ö·½ÏòÉÏµÄÆ«Î¢·Ö·½³Ì
ÒѾÓÐ0È˻ظ´
ÇóÖúÈçºÎÓÃmatlab½â΢·Ö·½³ÌÊýÖµ½â
ÒѾÓÐ2È˻ظ´
ÇóÖú¸÷λ´óÉñ£¬ ÓÃmatlab½âÒÔÏ·½³ÌµÄʱºò³öÏÖÁËÎÊÌ⣬ÇëÎÊÈçºÎÇó½â£¿
ÒѾÓÐ5È˻ظ´
ÈçºÎÓÃmatlab»³¬Ô½·½³Ì½âµÄͼÏñ
ÒѾÓÐ4È˻ظ´
ÈçºÎÓÃMATLABÇó½â¶àÔªº¯ÊýÔÚÈ¡µÃ×îСֵʱ¸÷ÔªµÄ½â¡£
ÒѾÓÐ11È˻ظ´
ÓÃ1stOpt½â³ö·ÇÏßÐÔ·½³Ì×éµÄ½â×÷Ϊ³õÖµÓÃMatlabÇó½â£¬½â²»³öÀ´
ÒѾÓÐ4È˻ظ´
ÇëÎÊmatlab½â·½³Ì×é½á¹ûÈçºÎ±£´æ
ÒѾÓÐ3È˻ظ´
ÇóÖúÈçºÎÓÃmatlabÇó·ÇÏßÐÔ·½³Ì×éµÄ½â
ÒѾÓÐ8È˻ظ´
ÈçºÎÓÃmatlab½âÊý×é·½³Ì
ÒѾÓÐ8È˻ظ´
ÈçºÎÓÃ×îС¶þ³Ë·¨¼°MATLAB½âÕâ¸ö·½³Ì×飿
ÒѾÓÐ6È˻ظ´
ÇóÖúÓÃmatlab½âÒ»¸ö¶þ½×³£Î¢·Ö·½³Ì
ÒѾÓÐ2È˻ظ´
ÈçºÎÓÃmatlab½â·½³Ì×é
ÒѾÓÐ0È˻ظ´
ÓÃmatlab½â·Ö¶Î³£Î¢·Ö·½³Ì×飬ÇóÖ¸½Ì
ÒѾÓÐ1È˻ظ´
ÈçºÎÓÃMatlabÇóʱ±ä΢·Ö·½³ÌµÄ½â£¿
ÒѾÓÐ5È˻ظ´
ÓÃmatlabÈçºÎ½â·½³Ì£¿
ÒѾÓÐ6È˻ظ´
ÈçºÎÓÃmatlab»òÆäËûÈí¼þÅúÁ¿Çó½â¶ÔÊý·½³Ì
ÒѾÓÐ6È˻ظ´
ÇóÖúÈçºÎÓÃMatlabÇó½â¸´ÔӵIJ»¹æÔò»ý·ÖÇø¼äµÄ¶þÖØ¶¨»ý·ÖµÄÊýÖµ½â£¿
ÒѾÓÐ3È˻ظ´
Çë½Ì¸÷λ¸ßÊÖ£ºÈçºÎÓÃMatlab½âÕâ¸ö·ÖÊý½×΢·Ö·½³Ì£¿
ÒѾÓÐ3È˻ظ´
ÈçºÎÓÃmatlabÇóÒ»¸öʽ×ÓµÄÕûÊý½â
ÒѾÓÐ4È˻ظ´
ÈçºÎÓÃMatlab ½âƫ΢·Ö·½³Ì
ÒѾÓÐ1È˻ظ´
ÈçºÎÓÃmatlab½â³öÒ»¸ö¸ß½×³£Î¢·Ö·½³Ì£¿¼±¼±¼±£¡£¡~~
ÒѾÓÐ2È˻ظ´

ССÀæÂä
гæ (СÓÐÃûÆø)
- Ó¦Öú: 2 (Ó×¶ùÔ°)
- ½ð±Ò: 27.8
- Ìû×Ó: 86
- ÔÚÏß: 35.9Сʱ
- ³æºÅ: 2125417
- ×¢²á: 2012-11-14
- רҵ: ³£Î¢·Ö·½³ÌÓ붯Á¦ÏµÍ³
2Â¥2015-09-07 09:41:42
scan1105
½ð³æ (ÕýʽдÊÖ)
- Ó¦Öú: 4 (Ó×¶ùÔ°)
- ½ð±Ò: 3056.5
- ºì»¨: 1
- Ìû×Ó: 457
- ÔÚÏß: 38.4Сʱ
- ³æºÅ: 1270857
- ×¢²á: 2011-04-19
- ÐÔ±ð: GG
- רҵ: »úе¶¯Á¦Ñ§
|
Èç¹ûÊÇÐèÒªÇó½â¾ßÌåÊý¾ÝµÄ»°£¬ÐèÒª¶¨ÒåÁ½¸ö²ÎÊý£¬Á½¸ö·½³Ì£¬Ëĸöδ֪ÊýÎÞ·¨Çó½â¡£ÕâÊÇÀí½â¶þÂ¥µÄÒâ˼¡£ Èç¹ûÊÇͨ¹ýÁ½¸ö·½³Ì£¬Çó½â³öas£¬bsµÄ·ûºÏ±í´ï£¬ÕâÓ¦¸ÃÊÇÂ¥Ö÷µÄÒâ˼£¬mupad¾Ý˵ÓÐÕâÑùµÄ¹¦ÄÜ£¬µ«²»ÖªµÀÈçºÎ²Ù×÷£¬Ö§³ÖÂ¥Ö÷µÄÇó֪̬¶È~ ·¢×ÔСľ³æAndroid¿Í»§¶Ë |

3Â¥2015-09-07 13:51:41
Ìïɽ¶«
¾èÖú¹ó±ö (ÖøÃûдÊÖ)
- Ó¦Öú: 5 (Ó×¶ùÔ°)
- ½ð±Ò: 77
- É¢½ð: 739
- ºì»¨: 8
- Ìû×Ó: 1577
- ÔÚÏß: 138.1Сʱ
- ³æºÅ: 800307
- ×¢²á: 2009-06-28
- ÐÔ±ð: GG
- רҵ: »ù´¡ÎïÀíѧ

4Â¥2015-09-07 19:50:36
gh_wang2008
ľ³æ (ÖøÃûдÊÖ)
ÎÞ
- Ó¦Öú: 3 (Ó×¶ùÔ°)
- ½ð±Ò: 4016.5
- ºì»¨: 10
- Ìû×Ó: 2342
- ÔÚÏß: 290.7Сʱ
- ³æºÅ: 421090
- ×¢²á: 2007-07-14
- ÐÔ±ð: GG
- רҵ: Ô×ӺͷÖ×ÓÎïÀí

5Â¥2017-01-05 08:35:04













»Ø¸´´ËÂ¥
5