| 查看: 4569 | 回复: 4 | ||
[求助]
MATLAB 以某一列数据为依据筛选整个表格的数据并将筛选出来的数据复制到新的表格中 已有1人参与
|
|
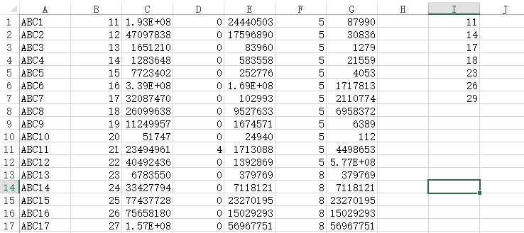
见附图,A~G列是原始数据表,现在我想要把B列中与I列相同的行都筛选出来,例如现在B列中的数是11~27,我想要把其中等于11、14、17、18、23、26、29的行的整行数据都复制到另一个表格中。实际处理的表格非常大,有近10000行数据,并且B列数据是没有规律的,所以手工筛选肯定行不通。 求助各位大牛,有没有什么可行的办法,不局限于使用MATLAB,用其他软件也可以。 捕获.JPG |
» 猜你喜欢
308求调剂
已经有3人回复
321求调剂
已经有11人回复
一志愿中海洋材料工程专硕330分求调剂
已经有8人回复
330求调剂
已经有4人回复
304求调剂
已经有7人回复
一志愿南京理工大学085701资源与环境302分求调剂
已经有6人回复
南京大学化学376求调剂
已经有3人回复
考研调剂求学校推荐
已经有5人回复
323求调剂
已经有3人回复
317求调剂
已经有12人回复
» 本主题相关价值贴推荐,对您同样有帮助:
MATLAB三维图像着色与去色问题交流
已经有0人回复
用mindlin和Boussinesq解求解桩土承台沉降问题
已经有2人回复
求帮助编写一个Matlab代码
已经有0人回复
lammps经验心得-2c0q1u4z1n204
已经有105人回复
如何用matlab做线性规划题目 在线等答案
已经有6人回复
matlab线性规划算例
已经有0人回复
matlab课程编排算法
已经有4人回复
Matlab心得及学习方法(不断更新)
已经有26人回复
如何在Origin等拟合軟件上以DSLF等模型拟合多條吸附等溫線(見帖內文檔)
已经有2人回复
编一个matlab程序,求某一向量在向量场里的坐标
已经有3人回复
大家看看,我该如何投稿到哪个期刊?《从金庸的武学视角谈计算机编程思维的培养》
已经有10人回复
FLUENT瞬态仿真中如何输出固定时间步长下某一个面上所有点的温度
已经有19人回复
MATLAB中产生高斯白噪声,涉及到awgn和wgn函数
已经有3人回复
用MATLAB重新演绎PSCAD图线的方法
已经有6人回复
急用!!!新虫求助有关阶梯轴的优化设计用matlab编程
已经有1人回复
【求助】请各位高手告诉我:这种想法能不能用matlab实现?200金币求助
已经有16人回复
【毕业前夕,畅谈科研】以自身为例探讨如何顺利完成博士课题
已经有41人回复
灿烂豆沙包
木虫 (小有名气)
- 应助: 0 (幼儿园)
- 金币: 1500.6
- 红花: 1
- 帖子: 262
- 在线: 135.9小时
- 虫号: 2030813
- 注册: 2012-09-26
- 性别: GG
- 专业: 结构工程

2楼2016-03-04 23:52:09
guo_zy_123
木虫 (正式写手)
- 应助: 32 (小学生)
- 金币: 4141
- 红花: 11
- 帖子: 442
- 在线: 197.5小时
- 虫号: 2601957
- 注册: 2013-08-17
- 性别: MM
- 专业: 动力学与控制

3楼2016-03-05 01:49:01
4楼2016-03-05 09:53:16
guo_zy_123
木虫 (正式写手)
- 应助: 32 (小学生)
- 金币: 4141
- 红花: 11
- 帖子: 442
- 在线: 197.5小时
- 虫号: 2601957
- 注册: 2013-08-17
- 性别: MM
- 专业: 动力学与控制
【答案】应助回帖
★ ★ ★ ★ ★ ★ ★ ★ ★ ★ ★ ★ ★ ★ ★ ★ ★ ★ ★ ★
3346055: 金币+20 2016-03-06 16:30:34
3346055: 金币+20 2016-03-06 16:30:34
|
http://www.excelpx.com/home/show.aspx?id=32011&cid=10 条件多了就用if函数啊,多条件而已,给你个地址详细的很 |

5楼2016-03-05 11:16:43













回复此楼