| ²é¿´: 1554 | »Ø¸´: 20 | |
| ±¾Ìû²úÉú 1 ¸ö ÊýѧEPI £¬µã»÷ÕâÀï½øÐв鿴 | |
iάÊýľ³æ (ÕýʽдÊÖ)
|
[ÇóÖú]
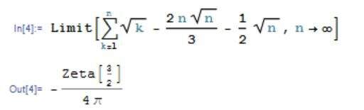
ÇëÎÊÕâÁ½¸ö¼«ÏÞÔõôË㣿
|
|
|
|
| »ØÌûÖö¥ ( ¹²ÓÐ1¸ö ) | |
iάÊýľ³æ (ÕýʽдÊÖ)
|
|
|
17Â¥2016-03-30 01:30:40
|
|
| »ØÌûÖ§³Ö ( ÏÔʾ֧³Ö¶È×î¸ßµÄǰ 50 Ãû ) | |
hank612ÖÁ×ðľ³æ (ÖøÃûдÊÖ)
|
|
![]() |
|
|
18Â¥2016-05-18 09:40:24
|
|
hank612ÖÁ×ðľ³æ (ÖøÃûдÊÖ)
|
|
![]() |
|
|
19Â¥2016-05-18 12:15:43
|
|
| ÆÕͨ»ØÌû | |
szuwusongbinľ³æ (ÕýʽдÊÖ)
|
|
|
2Â¥2016-02-06 05:39:47
|
|
iάÊýľ³æ (ÕýʽдÊÖ)
|
|
|
3Â¥2016-02-06 13:32:35
|
|
szuwusongbinľ³æ (ÕýʽдÊÖ)
|
|
|
4Â¥2016-02-06 13:45:02
|
|
szuwusongbinľ³æ (ÕýʽдÊÖ)
|
|
|
5Â¥2016-02-06 13:45:58
|
|
iάÊýľ³æ (ÕýʽдÊÖ)
|
|
|
6Â¥2016-02-06 13:59:34
|
|
szuwusongbinľ³æ (ÕýʽдÊÖ)
|
|
|
7Â¥2016-02-06 14:14:03
|
|
iάÊýľ³æ (ÕýʽдÊÖ)
|
|
|
8Â¥2016-02-06 14:16:54
|
|
szuwusongbinľ³æ (ÕýʽдÊÖ)
|
|
|
9Â¥2016-02-06 17:26:05
|
|
iάÊýľ³æ (ÕýʽдÊÖ)
|
|
|
10Â¥2016-02-06 17:32:46
|
|













»Ø¸´´ËÂ¥
