| 查看: 2354 | 回复: 6 | ||
jbb0523至尊木虫 (著名写手)
|
[求助]
有关2范数求极值,如何矩阵求导 已有2人参与
|
|
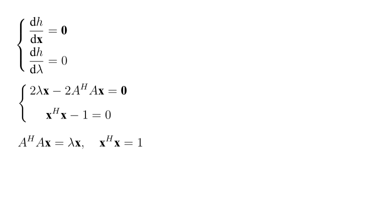
已知A是一个m*n的矩阵,是一个常矩阵,x是一个n*1的向量,是一个可变向量,求当向量x变化时||Ax||2/||x||2的最大值和最小值。其中||Ax||2和||x||2表示求2范数。 可以等价变换一下,求(||Ax||2/||x||2)^2的最大值和最小值,进一步可以等价为求以下式子的最大值和最小值。 即求x'A'Ax/(x'x)的最大值和最小值,A'和x'是求转置。 要求上面式子的最大值和最小值,我的思路就是对求x求导,但这涉及到了矩阵求导,就没有思路了…… 求助。 谢谢各位! |
» 猜你喜欢
人工智能320调剂08工类还有机会吗
已经有17人回复
考研英一数一338分
已经有10人回复
求助调剂,跨调
已经有15人回复
085600材料与化工329分求调剂
已经有20人回复
085600材料与化工349分求调剂
已经有15人回复
求调剂
已经有13人回复
一志愿华南理工大学331分材料求调剂
已经有11人回复
271求调剂
已经有40人回复
求调剂学校
已经有3人回复
332求调剂
已经有15人回复

tangbo5885
铁杆木虫 (正式写手)
- 应助: 21 (小学生)
- 金币: 7764
- 红花: 1
- 帖子: 637
- 在线: 106.1小时
- 虫号: 712883
- 注册: 2009-03-02
- 性别: GG
- 专业: 信号理论与信号处理
2楼2015-12-29 12:48:28
jbb0523
至尊木虫 (著名写手)
- 应助: 17 (小学生)
- 金币: 16618.9
- 红花: 27
- 帖子: 1630
- 在线: 346.1小时
- 虫号: 2738271
- 注册: 2013-10-20
- 专业: 信号理论与信号处理

3楼2015-12-29 12:57:34
rock_faith
金虫 (小有名气)
- 应助: 3 (幼儿园)
- 金币: 3778.9
- 红花: 5
- 帖子: 267
- 在线: 260.4小时
- 虫号: 2968427
- 注册: 2014-02-14
- 性别: GG
- 专业: 控制理论与方法

4楼2015-12-29 14:10:36
jbb0523
至尊木虫 (著名写手)
- 应助: 17 (小学生)
- 金币: 16618.9
- 红花: 27
- 帖子: 1630
- 在线: 346.1小时
- 虫号: 2738271
- 注册: 2013-10-20
- 专业: 信号理论与信号处理

5楼2015-12-29 14:55:58
jbb0523
至尊木虫 (著名写手)
- 应助: 17 (小学生)
- 金币: 16618.9
- 红花: 27
- 帖子: 1630
- 在线: 346.1小时
- 虫号: 2738271
- 注册: 2013-10-20
- 专业: 信号理论与信号处理

6楼2015-12-29 14:56:26
jbb0523
至尊木虫 (著名写手)
- 应助: 17 (小学生)
- 金币: 16618.9
- 红花: 27
- 帖子: 1630
- 在线: 346.1小时
- 虫号: 2738271
- 注册: 2013-10-20
- 专业: 信号理论与信号处理

7楼2015-12-30 10:59:25














回复此楼
10