| 查看: 1361 | 回复: 5 | |||
[求助]
减函数定积分小于等于f(k)??? 已有5人参与
|
|
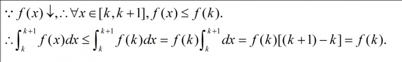
为什么定积分k,k+1,f(x)dx小于等于f(k),k=1,2...n-1,f(x)是减函数 [ 发自手机版 http://muchong.com/3g ] |
» 猜你喜欢
考研调剂
已经有3人回复
化工学硕294分,求导师收留
已经有25人回复
327求调剂
已经有12人回复
085600材料与化工329分求调剂
已经有11人回复
一志愿沪9,326求生物学调剂
已经有8人回复
生物学308分求调剂(一志愿华东师大)接受跨专业
已经有3人回复
本科郑州大学,一志愿华东师范大学282求调剂
已经有33人回复
291 求调剂
已经有31人回复
0854调剂
已经有13人回复
考研求调剂
已经有10人回复
wurongjun
专家顾问 (职业作家)
-

专家经验: +831 - 数学EPI: 9
- 应助: 791 (博后)
- 贵宾: 0.308
- 金币: 24609
- 散金: 310
- 红花: 75
- 帖子: 3004
- 在线: 881.4小时
- 虫号: 1368482
- 注册: 2011-08-14
- 性别: GG
- 专业: 计算数学与科学工程计算
- 管辖: 数学

2楼2015-08-02 16:56:19
lovelotuss
铜虫 (正式写手)
- 应助: 71 (初中生)
- 金币: 1092.2
- 红花: 4
- 帖子: 301
- 在线: 81.8小时
- 虫号: 949472
- 注册: 2010-01-27
- 性别: GG
- 专业: 金属材料的凝固与结晶学

3楼2015-08-02 16:58:34
peterflyer
木虫之王 (文学泰斗)
peterflyer
- 数学EPI: 10
- 应助: 20282 (院士)
- 金币: 146248
- 红花: 1374
- 帖子: 93091
- 在线: 7694.3小时
- 虫号: 1482829
- 注册: 2011-11-08
- 性别: GG
- 专业: 功能陶瓷
【答案】应助回帖
★ ★
感谢参与,应助指数 +1
美丽的小草(Edstrayer代发): 金币+2 2015-12-18 02:14:45
感谢参与,应助指数 +1
美丽的小草(Edstrayer代发): 金币+2 2015-12-18 02:14:45
|
这个结论真的不一定成立。比如函数f(x)在[k,k+1]之间虽然是下降趋势,但波动非常剧烈,这个结论不一定成立。但若能再加上f(x)在区间[k,k+1]之内是单调的,则结论成立。 Integral{f(x)*dx ,k, k+1}≤f(k) 由拉格朗日中值定理: 左边 Integral{f(x)*dx ,k, k+1}=f{k+θ*[(k+1)-k]}=f(k+θ), 此处 0≤θ≤1 。 代入原积分中就得到: f(k+θ)≤f(k) 由于k+θ≥k,且f(x)在区间[k,k+1]之内是单调的,因此f(x)是减函数。 |
4楼2015-08-02 17:18:52
5楼2015-08-03 08:47:17
hylpy
专家顾问 (知名作家)
唵嘛呢叭咪吽
-

专家经验: +2500 - 数学EPI: 7
- 应助: 381 (硕士)
- 贵宾: 0.167
- 金币: 51135
- 散金: 5568
- 红花: 410
- 帖子: 5093
- 在线: 1102.4小时
- 虫号: 3247778
- 注册: 2014-06-01
- 性别: GG
- 专业: 函数论
- 管辖: 数学

6楼2015-08-03 09:04:43














回复此楼