Znn3bq.jpeg
±±¾©Ê¯ÓÍ»¯¹¤Ñ§Ôº2026ÄêÑо¿ÉúÕÐÉú½ÓÊÕµ÷¼Á¹«¸æ
²é¿´: 842  |  »Ø¸´: 4

sapphirechina

Í­³æ (ÕýʽдÊÖ)

[ÇóÖú] Çë½ÌÏÂͼÊÇÔõô×ö³öÀ´µÄ£¿ ÒÑÓÐ1È˲ÎÓë

È總¼þËùʾ¡£
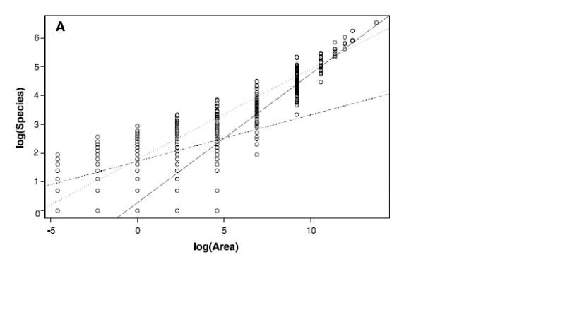
ÏëÇë½ÌһϣºÍ¼ÖеijÊÊúÖ±ÅÅÁеÄСԲȦӦ¸ÃÊÇʲô¶«Î÷£¿

Çë½ÌÏÂͼÊÇÔõô×ö³öÀ´µÄ£¿
ÎÞ±êÌâ.jpg
»Ø¸´´ËÂ¥

» ÊÕ¼±¾ÌûµÄÌÔÌûר¼­ÍƼö

SCIд×÷Ïà¹Ø

» ²ÂÄãϲ»¶

» ±¾Ö÷ÌâÏà¹Ø¼ÛÖµÌùÍÆ¼ö£¬¶ÔÄúͬÑùÓаïÖú:

ÒÑÔÄ   »Ø¸´´ËÂ¥   ¹Ø×¢TA ¸øTA·¢ÏûÏ¢ ËÍTAºì»¨ TAµÄ»ØÌû

vincentwz

Ìú¸Ëľ³æ (ÖøÃûдÊÖ)

¡¾´ð°¸¡¿Ó¦Öú»ØÌû

¡ï ¡ï
¸Ðл²ÎÓ룬ӦÖúÖ¸Êý +1
sapphirechina: ½ð±Ò+2, ¡ï¡ï¡ïºÜÓаïÖú 2015-07-30 18:42:35
¾ÍÊÇÈ˼ҵÄÊý¾Ý°É£¬ÊµÑéµÃµ½µÄ»òÕß·ÂÕæ¼ÆËã³öÀ´µÄ

[ ·¢×ÔÊÖ»ú°æ https://muchong.com/3g ]
2Â¥2015-07-30 18:27:09
ÒÑÔÄ   »Ø¸´´ËÂ¥   ¹Ø×¢TA ¸øTA·¢ÏûÏ¢ ËÍTAºì»¨ TAµÄ»ØÌû

sapphirechina

Í­³æ (ÕýʽдÊÖ)

ÒýÓûØÌû:
2Â¥: Originally posted by vincentwz at 2015-07-30 18:27:09
¾ÍÊÇÈ˼ҵÄÊý¾Ý°É£¬ÊµÑéµÃµ½µÄ»òÕß·ÂÕæ¼ÆËã³öÀ´µÄ

ÓÐûÓпÉÄÜÊÇʲôÊýÀíͳ¼ÆµÄÎó²îÖ¸±êÖµÖ®ÀàµÄ¶«Î÷?
ͼÖеļ¸ÌõÐéÏßÊÇÏßÐԻعéµÄ½á¹û.
3Â¥2015-07-30 18:33:17
ÒÑÔÄ   »Ø¸´´ËÂ¥   ¹Ø×¢TA ¸øTA·¢ÏûÏ¢ ËÍTAºì»¨ TAµÄ»ØÌû

vincentwz

Ìú¸Ëľ³æ (ÖøÃûдÊÖ)

¡¾´ð°¸¡¿Ó¦Öú»ØÌû

¡ï ¡ï ¡ï
sapphirechina: ½ð±Ò+3, ¡ï¡ï¡ïºÜÓаïÖú 2015-07-31 07:35:19
ÒýÓûØÌû:
3Â¥: Originally posted by sapphirechina at 2015-07-30 18:33:17
ÓÐûÓпÉÄÜÊÇʲôÊýÀíͳ¼ÆµÄÎó²îÖ¸±êÖµÖ®ÀàµÄ¶«Î÷?
ͼÖеļ¸ÌõÐéÏßÊÇÏßÐԻعéµÄ½á¹û....

Îó²îÖ¸±ê²»ÊÇÕâô±êʾµÄ£¬ÕâÃ÷ÏÔÊÇÒ»¸öÒ»¸öÊý¾ÝµãÂï
4Â¥2015-07-30 20:47:35
ÒÑÔÄ   »Ø¸´´ËÂ¥   ¹Ø×¢TA ¸øTA·¢ÏûÏ¢ ËÍTAºì»¨ TAµÄ»ØÌû

nhnt

Í­³æ (СÓÐÃûÆø)

Ó¦¸ÃÊÇÓÃspssÊý¾Ýͳ¼ÆÈí¼þ×ö³öÀ´µÄ
5Â¥2015-07-31 21:27:56
ÒÑÔÄ   »Ø¸´´ËÂ¥   ¹Ø×¢TA ¸øTA·¢ÏûÏ¢ ËÍTAºì»¨ TAµÄ»ØÌû
Ïà¹Ø°æ¿éÌø×ª ÎÒÒª¶©ÔÄÂ¥Ö÷ sapphirechina µÄÖ÷Ìâ¸üÐÂ
×î¾ßÈËÆøÈÈÌûÍÆ¼ö [²é¿´È«²¿] ×÷Õß »Ø/¿´ ×îºó·¢±í
[¿¼ÑÐ] 085600²ÄÁÏÓ뻯¹¤£¬Çóµ÷¼Á +6 won_qii 2026-04-07 6/300 2026-04-08 21:57 by hypershenger
[¿¼ÑÐ] µ÷¼Á +9 ÔÂ@163.com 2026-04-08 9/450 2026-04-08 21:44 by ZMQAHPU
[¿¼ÑÐ] Ò»Ö¾Ô¸Î÷ÄÏ´óѧÉúÎïѧѧ˶344 ÇóÉúÎïѧÏà¹Øµ÷¼Á/ÉúÎïÓëÒ½Ò© +4 ³¬È˲»»á·É@ 2026-04-08 4/200 2026-04-08 21:18 by ѧԱtURuqU
[¿¼ÑÐ] Ò»Ö¾Ô¸ÄϾ©º½¿Õº½Ìì´óѧ ²ÄÁÏÓ뻯¹¤329·ÖÇóµ÷¼Á +11 Mr. Z 2026-04-05 12/600 2026-04-08 16:15 by luoyongfeng
[¿¼ÑÐ] ²ÄÁÏר˶322·Ö +12 ¹þ¹þ¹þºðºðºð¹þ 2026-04-02 12/600 2026-04-08 11:43 by 1753564080
[¿¼²©] É격 +8 IQwQl 2026-04-04 8/400 2026-04-08 09:43 by 0608104024
[¿¼ÑÐ] µç×ÓÐÅÏ¢270Çóµ÷¼Á +7 terminal469 2026-04-07 7/350 2026-04-08 08:48 by tt19890111
[¿¼ÑÐ] 288Çóµ÷¼Á +12 ûÓдð°¸_ 2026-04-05 12/600 2026-04-08 00:17 by T¿É¿ÉÎ÷ÀïT
[¿¼ÑÐ] 11408 325·Ö +3 jgtxuxgkx 2026-04-07 3/150 2026-04-07 23:10 by lbsjt
[¿¼ÑÐ] ×÷ÔÔ330µ÷¼Á +3 ÎÒÒªÉϺÃѧ 2026-04-02 4/200 2026-04-07 19:54 by biomichael
[¿¼ÑÐ] Ò»Ö¾Ô¸Î÷ÄÏ090202Çóµ÷¼Á +4 ÔÚÏßÇóÓÐѧÉÏ 2026-04-07 4/200 2026-04-07 19:47 by biomichael
[¿¼ÑÐ] Ò»Ö¾Ô¸ÄϿƴóÉúÎïѧ297·Ö£¬Çóµ÷¼ÁÍÆ¼ö +8 Y-yyusx 2026-04-06 9/450 2026-04-07 19:38 by biomichael
[¿¼ÑÐ] ר˶085403£¬291·Ö£¬ÓÐÁ½Æª×¨Àû£¬Ò»¹úÒ»½± +3 ¹þ¼ªßä¹þ¼ªßä 2026-04-07 3/150 2026-04-07 18:21 by À¶ÔÆË¼Óê
[¿¼ÑÐ] 0854Çóµ÷¼Á +4 assdll 2026-04-05 4/200 2026-04-06 12:29 by ÖзÉÔº¿Õ¹ÜѧԺÑ
[¿¼ÑÐ] ¹¤¿Æ277·ÖÇóµ÷¼Á²ÄÁÏ +8 ÉÏÁËÉÏÁËÉÏŶ 2026-04-05 9/450 2026-04-05 13:05 by wwytracy
[¿¼ÑÐ] µ÷¼Á +9 19945159693 2026-04-03 10/500 2026-04-04 20:16 by dongzh2009
[¿¼ÑÐ] 298Çóµ÷¼Á +5 zzz£¬£¬r 2026-04-02 8/400 2026-04-04 19:55 by À¶ÔÆË¼Óê
[¿¼ÑÐ] Çóµ÷¼Á +4 ѹÁ¦??´ó 2026-04-03 4/200 2026-04-03 21:36 by à£à£à£0119
[¿¼ÑÐ] Ò»Ö¾Ô¸´ó¹¤Ñ§Ë¶£¬Çóµ÷¼Á +4 yub0811 2026-04-02 4/200 2026-04-02 21:36 by °ÙÁéͯ888
[¿¼ÑÐ] 285Çóµ÷¼Á +8 AZMK 2026-04-02 11/550 2026-04-02 20:16 by yulian1987
ÐÅÏ¢Ìáʾ
ÇëÌî´¦ÀíÒâ¼û