| 查看: 1744 | 回复: 19 | ||
xzh410512206银虫 (小有名气)
|
[求助]
求助:对称有机大分子体系 如何同时扫描4个势能面??? 已有1人参与
|
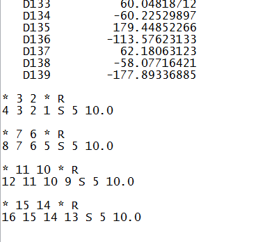
我要同时扫描4个二面角(分别是4-3-2-1,8-7-6-5,12-11-10-9,16-15-14-13) 用g09 scan模块只有扫描一个角度的方法,如果我同时扫描4个角度,并进行优化,也就是柔性扫描,,我该怎么设置呢??我自己尝试的结果是 只有两个角度在变,另外俩几乎无变化。。。。![]() ![]() 有没有哪位大侠 做过类似方面的? 急求。。。 对称分子.png |
» 猜你喜欢
福州大学新能源材料与工程研究院招收2026年入学博士
已经有0人回复
海南师范大学2026年博士研究生招收 (在职想提升学历人员可报考) 申请考核制
已经有0人回复
物理化学论文润色/翻译怎么收费?
已经有188人回复
中国科学院成都山地灾害与环境研究所2026年特别研究助理(博士后)招聘启事
已经有0人回复
锂离子电池循环寿命衰减过快,求机理分析与改进思路
已经有2人回复
求博导收留
已经有5人回复
CSC & MSCA 博洛尼亚大学能源材料课题组博士/博士后招生|MSCA经费充足、排名优
已经有5人回复
德国Karlsruhe Institute of Technology招收电化学储能及联合培养CSC博士等
已经有19人回复
德国Karlsruhe Institute of Technology招收电化学储能及联合培养CSC博士
已经有17人回复
德国Karlsruhe Institute of Technology招收电化学储能及联合培养CSC博士
已经有1人回复
固态锂金属电池迁移数计算求助
已经有1人回复
» 本主题相关商家推荐: (我也要在这里推广)
枪下游魂
木虫 (著名写手)
- 应助: 718 (博后)
- 金币: 8336.9
- 散金: 175
- 红花: 80
- 帖子: 1498
- 在线: 542.6小时
- 虫号: 2620258
- 注册: 2013-08-28
- 专业: 理论和计算化学
2楼2015-07-15 10:32:57
xzh410512206
银虫 (小有名气)
- 应助: 1 (幼儿园)
- 金币: 457.2
- 散金: 10
- 帖子: 127
- 在线: 75.4小时
- 虫号: 2630841
- 注册: 2013-09-02
- 专业: 应用有机化学
3楼2015-07-15 10:51:13
枪下游魂
木虫 (著名写手)
- 应助: 718 (博后)
- 金币: 8336.9
- 散金: 175
- 红花: 80
- 帖子: 1498
- 在线: 542.6小时
- 虫号: 2620258
- 注册: 2013-08-28
- 专业: 理论和计算化学
4楼2015-07-15 12:49:02
xzh410512206
银虫 (小有名气)
- 应助: 1 (幼儿园)
- 金币: 457.2
- 散金: 10
- 帖子: 127
- 在线: 75.4小时
- 虫号: 2630841
- 注册: 2013-09-02
- 专业: 应用有机化学
5楼2015-07-15 14:32:55
枪下游魂
木虫 (著名写手)
- 应助: 718 (博后)
- 金币: 8336.9
- 散金: 175
- 红花: 80
- 帖子: 1498
- 在线: 542.6小时
- 虫号: 2620258
- 注册: 2013-08-28
- 专业: 理论和计算化学
6楼2015-07-15 15:09:18
xzh410512206
银虫 (小有名气)
- 应助: 1 (幼儿园)
- 金币: 457.2
- 散金: 10
- 帖子: 127
- 在线: 75.4小时
- 虫号: 2630841
- 注册: 2013-09-02
- 专业: 应用有机化学
7楼2015-07-15 15:27:45
kekexili_08
木虫 (正式写手)
- 应助: 20 (小学生)
- 金币: 3465.2
- 散金: 322
- 红花: 13
- 帖子: 683
- 在线: 646.7小时
- 虫号: 1137497
- 注册: 2010-11-02
- 专业: 理论和计算化学
8楼2015-07-15 16:31:50
xzh410512206
银虫 (小有名气)
- 应助: 1 (幼儿园)
- 金币: 457.2
- 散金: 10
- 帖子: 127
- 在线: 75.4小时
- 虫号: 2630841
- 注册: 2013-09-02
- 专业: 应用有机化学
9楼2015-07-15 16:51:31
kekexili_08
木虫 (正式写手)
- 应助: 20 (小学生)
- 金币: 3465.2
- 散金: 322
- 红花: 13
- 帖子: 683
- 在线: 646.7小时
- 虫号: 1137497
- 注册: 2010-11-02
- 专业: 理论和计算化学
10楼2015-07-15 21:09:06














回复此楼